版块导航
正在加载中...
客户端APP下载
论文辅导
申博辅导
登录
注册
帖子
帖子
用户
本版
应《网络安全法》要求,自2017年10月1日起,未进行实名认证将不得使用互联网跟帖服务。为保障您的帐号能够正常使用,请尽快对帐号进行手机号验证,感谢您的理解与支持!
24小时热门版块排行榜
>
论坛更新日志
(457)
>
虫友互识
(45)
>
休闲灌水
(24)
>
导师招生
(18)
>
硕博家园
(7)
>
论文投稿
(7)
>
招聘信息布告栏
(4)
>
博后之家
(4)
>
留学生活
(4)
>
教师之家
(4)
>
考博
(4)
>
公派出国
(3)
>
考研
(3)
>
功能材料
(2)
>
论文道贺祈福
(2)
>
文献求助
(2)
小木虫论坛-学术科研互动平台
»
生物医药区
»
生物科学
»
ORIGIN8.0求比生长速率
12
1/1
返回列表
查看: 2527 | 回复: 11
只看楼主
@他人
存档
新回复提醒
(忽略)
收藏
在APP中查看
dingxy2010
铁杆木虫
(著名写手)
应助: 0
(幼儿园)
金币: 10940.3
帖子: 2212
在线: 230.3小时
虫号: 1104735
[交流]
ORIGIN8.0求比生长速率
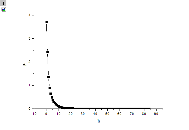
我用Origin 8.0 拟合出来的出来的菌体的比生长速率曲线为什么第一个点非常高??
用origin怎么求比生长速率?是不是先在origin里先画生长曲线,拟合S曲线,对曲线求导,除以菌体x就得比生长速率μ,对μ和t作图就得到曲线,问题是我做出的比生长速率μ是第一个点很高,然后一直下降,和书上说的开始很小慢慢增加到峰值在降低的情况(钟形曲线)不一样,我的问题出在哪里?(前一张图是比生长速率曲线,后一张是生长曲线。)
[
Last edited by dingxy2010 on 2012-8-19 at 20:48
]
回复此楼
» 猜你喜欢
请问有评职称,把科研教学业绩算分排序的高校吗
已经有6人回复
2025冷门绝学什么时候出结果
已经有6人回复
Bioresource Technology期刊,第一次返修的时候被退回好几次了
已经有7人回复
真诚求助:手里的省社科项目结项要求主持人一篇中文核心,有什么渠道能发核心吗
已经有8人回复
寻求一种能扛住强氧化性腐蚀性的容器密封件
已经有5人回复
请问哪里可以有青B申请的本子可以借鉴一下。
已经有4人回复
请问下大家为什么这个铃木偶联几乎不反应呢
已经有5人回复
天津工业大学郑柳春团队欢迎化学化工、高分子化学或有机合成方向的博士生和硕士生加入
已经有4人回复
康复大学泰山学者周祺惠团队招收博士研究生
已经有6人回复
AI论文写作工具:是科研加速器还是学术作弊器?
已经有3人回复
高级回复
» 本主题相关价值贴推荐,对您同样有帮助:
origin8 拟合曲线图问题求助
已经有11人回复
关于四参数Logistic方程
已经有4人回复
origin8.0 函数关系中参数拟合求助?
已经有4人回复
硅表面的自然氧化层生长速率
已经有7人回复
origin曲线拟合不收敛问题
已经有4人回复
利用origin8能否对多元函数进行拟合
已经有5人回复
origin8.5 自定义方程的非线性拟合问题
已经有10人回复
求助用origin8.5进行线性拟合的问题
已经有4人回复
用origin8.0英文版或7.5汉化版对Langmuir进行数据的拟合,如何操作。本人就一组数据。
已经有3人回复
关于origin8.0中的拟合图
已经有3人回复
logistic拟合曲线
已经有7人回复
origin怎么样进行多项式拟合
已经有2人回复
在用origin进行非线性拟合怎样去选择拟合函数?
已经有6人回复
用origin8对生长曲线进行拟合,求比生长速率?
已经有4人回复
» 抢金币啦!回帖就可以得到:
查看全部散金贴
坐标深圳,诚征女友
+
1
/158
东北大学数字钢铁全国重点实验室刘振宇教授课题组拟招收2026级入学博士研究生1~2名
+
2
/82
加拿大/英属哥伦比亚大学曹彦凯课题组招收全奖博士/博后 [机器学习/优化/控制方向]
+
1
/82
加拿大/英属哥伦比亚大学曹彦凯课题组招收全奖博士/博后 [机器学习/优化/控制方向]
+
1
/82
湘潭大学化学学院陈华杰教授课题组招收有机/高分子方向的博士研究生
+
1
/81
湘潭大学化学学院理论与计算化学课题组裴勇教授招生博士生2名
+
2
/70
Call for papers,征稿
+
1
/57
北京理工大学博士招生(Micro-LED、钙钛矿喷墨打印等)
+
1
/40
广州医科大学招聘微塑料生物毒理纳米材料方向博士后2名
+
1
/40
双一流大学湘潭大学“化工过程模拟与强化”国家地方联合工程研究中心招收各类博士生
+
1
/32
智慧能源中心2026年秋季博士生招生启事
+
1
/31
博士/硕士招生
+
1
/14
【陕西师范大学】催化化学课题组2026年招收博士后/讲师/副高
+
1
/9
意大利CSC机器人方向博士招生
+
1
/8
伦敦大学学院(University College London)机械工程系博士招生/CSC联培招生
+
1
/7
招聘2026年入学博士生
+
1
/7
深圳先进院三院院士成会明团队诚聘液流电池/高分子合成等方向博后、科研助理、工程师
+
1
/6
长江学者团队招聘高校教师7名(地点杭州、有事业编)+博后5名
+
1
/3
法赫德国王石油与矿业大学(King Fahd University of Petroleum and Minerals-KFUPM)
+
1
/3
东莞理工学院-大连化物所联合招聘光催化方向博士后2名(年薪48W)
+
1
/2
1楼
2012-08-13 22:17:58
已阅
回复此楼
关注TA
给TA发消息
送TA红花
TA的回帖
回帖支持 ( 显示支持度最高的前 50 名 )
duoyidian
木虫
(正式写手)
应助: 6
(幼儿园)
金币: 2609.1
帖子: 317
在线: 238.3小时
虫号: 2347348
★
小木虫: 金币+0.5, 给个红包,谢谢回帖
你的生长曲线的前面部分的延滞期没有,一开始就进入对数生长期,所以没有你说的钟形曲线。
求助:你是怎么拟合的曲线,要详细步骤,谢谢,可发至邮箱
huangmeng891211@126.com
赞
一下
(1人)
回复此楼
9楼
2015-08-28 18:37:56
已阅
回复此楼
关注TA
给TA发消息
送TA红花
TA的回帖
普通回帖
huiling_cui
新虫
(小有名气)
应助: 0
(幼儿园)
金币: 42.3
帖子: 65
在线: 21.9小时
虫号: 1226949
★
小木虫: 金币+0.5, 给个红包,谢谢回帖
我也想知道怎么求比生长速率哦,怎么没有人跟帖,楼主解决了吗?希望可以帮忙下
赞
一下
回复此楼
2楼
2012-12-18 20:59:59
已阅
回复此楼
关注TA
给TA发消息
送TA红花
TA的回帖
山野紫英
新虫
(初入文坛)
应助: 0
(幼儿园)
金币: 3
帖子: 4
在线: 4.1小时
虫号: 1672329
★
小木虫: 金币+0.5, 给个红包,谢谢回帖
我的问题和你的一样。。。。想知道你解决了吗?
赞
一下
回复此楼
3楼
2013-09-16 09:00:30
已阅
回复此楼
关注TA
给TA发消息
送TA红花
TA的回帖
dingxy2010
铁杆木虫
(著名写手)
应助: 0
(幼儿园)
金币: 10940.3
帖子: 2212
在线: 230.3小时
虫号: 1104735
引用回帖:
3楼
:
Originally posted by
山野紫英
at 2013-09-16 09:00:30
我的问题和你的一样。。。。想知道你解决了吗?
可能是取样时间间隔长了点吧 ,做另外一种菌发酵,酶8h取样一次,按照同样的方法做出来的比生长速率曲线是钟形曲线,可以
赞
一下
回复此楼
4楼
2013-09-18 10:29:16
已阅
回复此楼
关注TA
给TA发消息
送TA红花
TA的回帖
jllsmile
新虫
(初入文坛)
应助: 0
(幼儿园)
金币: 7
帖子: 13
在线: 2.6小时
虫号: 2753566
★
小木虫: 金币+0.5, 给个红包,谢谢回帖
我也有同样问题 求解答
赞
一下
回复此楼
5楼
2015-01-08 21:19:30
已阅
回复此楼
关注TA
给TA发消息
送TA红花
TA的回帖
jllsmile
新虫
(初入文坛)
应助: 0
(幼儿园)
金币: 7
帖子: 13
在线: 2.6小时
虫号: 2753566
★
小木虫: 金币+0.5, 给个红包,谢谢回帖
请问楼主解决了么?
赞
一下
回复此楼
6楼
2015-01-08 21:31:32
已阅
回复此楼
关注TA
给TA发消息
送TA红花
TA的回帖
jllsmile
新虫
(初入文坛)
应助: 0
(幼儿园)
金币: 7
帖子: 13
在线: 2.6小时
虫号: 2753566
★
小木虫: 金币+0.5, 给个红包,谢谢回帖
不除以菌生物量就可以得到钟形
赞
一下
回复此楼
7楼
2015-01-08 21:46:08
已阅
回复此楼
关注TA
给TA发消息
送TA红花
TA的回帖
小红帽9297
新虫
(初入文坛)
应助: 0
(幼儿园)
金币: 3.3
帖子: 3
在线: 15.6小时
虫号: 2552209
★
小木虫: 金币+0.5, 给个红包,谢谢回帖
同问,不除以生物量就是钟形,可除过之后反而很奇怪,和文献中的不一样,怎么回事呢??求高手解答啊
赞
一下
回复此楼
8楼
2015-03-11 15:45:16
已阅
回复此楼
关注TA
给TA发消息
送TA红花
TA的回帖
dingxy2010
铁杆木虫
(著名写手)
应助: 0
(幼儿园)
金币: 10940.3
帖子: 2212
在线: 230.3小时
虫号: 1104735
引用回帖:
3楼
:
Originally posted by
山野紫英
at 2013-09-16 09:00:30
我的问题和你的一样。。。。想知道你解决了吗?
前期取样间隔尽量短
赞
一下
回复此楼
10楼
2015-09-01 10:40:52
已阅
回复此楼
关注TA
给TA发消息
送TA红花
TA的回帖
dingxy2010
铁杆木虫
(著名写手)
应助: 0
(幼儿园)
金币: 10940.3
帖子: 2212
在线: 230.3小时
虫号: 1104735
引用回帖:
5楼
:
Originally posted by
jllsmile
at 2015-01-08 21:19:30
我也有同样问题 求解答
前期取样间隔尽量短就没问题
赞
一下
回复此楼
11楼
2015-09-01 10:41:09
已阅
回复此楼
关注TA
给TA发消息
送TA红花
TA的回帖
dingxy2010
铁杆木虫
(著名写手)
应助: 0
(幼儿园)
金币: 10940.3
帖子: 2212
在线: 230.3小时
虫号: 1104735
引用回帖:
8楼
:
Originally posted by
小红帽9297
at 2015-03-11 15:45:16
同问,不除以生物量就是钟形,可除过之后反而很奇怪,和文献中的不一样,怎么回事呢??求高手解答啊
前期取样间隔尽量短就没问题
赞
一下
回复此楼
12楼
2015-09-01 10:41:20
已阅
回复此楼
关注TA
给TA发消息
送TA红花
TA的回帖
相关版块跳转
新药研发
药学
药品生产
分子生物
微生物
动植物
生物科学
医学
我要订阅楼主
dingxy2010
的主题更新
12
1/1
返回列表
如果回帖内容含有宣传信息,请如实选中。否则帐号将被全论坛禁言
普通表情
龙
兔
虎
猫
高级回复
(可上传附件)
百度网盘
|
360云盘
|
千易网盘
|
华为网盘
在新窗口页面中打开自己喜欢的网盘网站,将文件上传后,然后将下载链接复制到帖子内容中就可以了。
信息提示
关闭
请填处理意见
关闭
确定