±±¾©Ê¯ÓÍ»¯¹¤Ñ§Ôº2026ÄêÑо¿ÉúÕÐÉú½ÓÊÕµ÷¼Á¹«¸æ
²é¿´: 452  |  »Ø¸´: 1

tianjun502

½ð³æ (ÖøÃûдÊÖ)

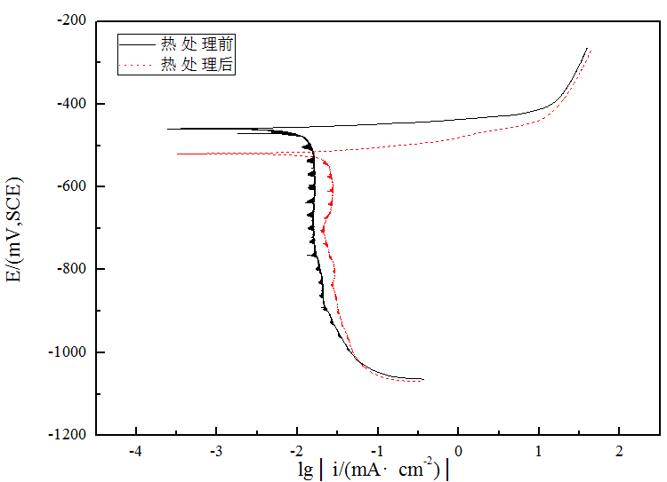
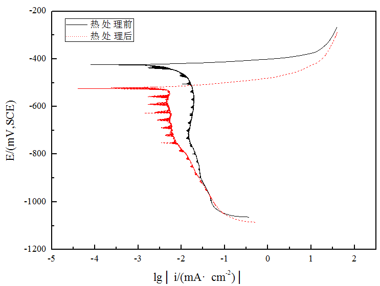
[ÇóÖú] µ¯»É¸ÖµÄ¼«»¯ÇúÏßÔõôÇó¸¯Ê´µçѹ¼°µçÁ÷

ÇëÎÊ£ºµ¯»É¸ÖµÄ¼«»¯ÇúÏßÔõôÇó¸¯Ê´µçѹ¼°µçÁ÷£¬¸Ðл£¡











[ Last edited by missu001 on 2012-12-21 at 08:44 ]
»Ø¸´´ËÂ¥

» ²ÂÄãϲ»¶

» ±¾Ö÷ÌâÏà¹Ø¼ÛÖµÌùÍÆ¼ö£¬¶ÔÄúͬÑùÓаïÖú:

ÒÑÔÄ   »Ø¸´´ËÂ¥   ¹Ø×¢TA ¸øTA·¢ÏûÏ¢ ËÍTAºì»¨ TAµÄ»ØÌû

adong9

½ð³æ (СÓÐÃûÆø)

¡¾´ð°¸¡¿Ó¦Öú»ØÌû

¡ï
missu001: ½ð±Ò+1, ¸Ðл»ØÌû 2012-12-21 08:45:01
ÄãÕâ¸öÁ¬ÊµÑéÌõ¼þ¶¼Ã»¸ø¡£
Èç¹ûÊÇͬһÖÖʵÑéÌõ¼þ£¬ËµÃ÷ÈÈ´¦ÀíǰºóûÓйæÂÉÐԵı仯ѽ£¬ÈÈ´¦Àíû¶à´óÒâÒåÄØ¡£
»îÔÚµ±Ï£¬Õäϧʱ¼ä
2Â¥2012-12-21 08:31:44
ÒÑÔÄ   »Ø¸´´ËÂ¥   ¹Ø×¢TA ¸øTA·¢ÏûÏ¢ ËÍTAºì»¨ TAµÄ»ØÌû
Ïà¹Ø°æ¿éÌø×ª ÎÒÒª¶©ÔÄÂ¥Ö÷ tianjun502 µÄÖ÷Ìâ¸üÐÂ
×î¾ßÈËÆøÈÈÌûÍÆ¼ö [²é¿´È«²¿] ×÷Õß »Ø/¿´ ×îºó·¢±í
[¿¼ÑÐ] 316Çóµ÷¼Á +13 ÖÛ×Ô¹£ 2026-04-01 17/850 2026-04-03 09:20 by zhouxiaoyu
[¿¼ÑÐ] 312Çóµ÷¼Á +6 ССī123 2026-04-02 7/350 2026-04-03 07:32 by jsw79
[¿¼ÑÐ] ÉúÎïѧ308·ÖÇóµ÷¼Á£¨Ò»Ö¾Ô¸»ª¶«Ê¦´ó£© +6 ÏàÐűػá¹ââÍòÕ 2026-03-31 7/350 2026-04-02 23:16 by JourneyLucky
[¿¼ÑÐ] 324Çóµ÷¼Á +11 ÏëÉÏѧÇóµ÷ 2026-04-02 11/550 2026-04-02 21:23 by ÅÁ¶ûÂíÀ­ÌØ
[¿¼ÑÐ] 085602»¯¹¤Çóµ÷¼Á£¨331·Ö£© +9 111@127 2026-03-30 9/450 2026-04-02 20:00 by dick_runner
[¿¼ÑÐ] µ÷¼Á +3 ºÃºÃ¶ÁÊé¡£ 2026-04-01 6/300 2026-04-02 15:49 by liumengping
[¿¼ÑÐ] 081200-11408-276ѧ˶Çóµ÷¼Á +3 ´Þwj 2026-04-02 3/150 2026-04-02 15:06 by cal0306
[¿¼ÑÐ] 302Çóµ÷¼ÁÒ»Ö¾Ô¸±±º½070300£¬±¾¿ÆÖ£´ó»¯Ñ§ +8 Ê¥ÈÕ¶úÂüÌõ 2026-04-01 11/550 2026-04-02 07:40 by chemdavid
[¿¼ÑÐ] 266·Ö£¬Ò»Ö¾Ô¸µçÆø¹¤³Ì£¬±¾¿Æ²ÄÁÏ£¬Çó²ÄÁÏרҵµ÷¼Á +10 ÍÛºôºßºôºß 2026-04-01 11/550 2026-04-01 21:48 by chyhaha
[¿¼ÑÐ] 070300Ò»Ö¾Ô¸211£¬312·ÖÇóµ÷¼ÁԺУ +14 С»ÆÑ¼±¦ 2026-03-30 14/700 2026-04-01 20:19 by Àµ´ºÑÞ
[¿¼ÑÐ] 290Çóµ÷¼Á +5 dfffsar 2026-03-29 5/250 2026-04-01 19:45 by 6781022
[¿¼ÑÐ] ÉúÎïÓëÒ½Ò©¿¼Ñе÷¼Á +5 Ìúº©º©123425 2026-03-31 5/250 2026-04-01 18:01 by syh9288
[¿¼ÑÐ] ¡¾Çóµ÷¼Á¡¿085601²ÄÁϹ¤³Ìר˶ | ×Ü·Ö272 | +10 ½Å»¬µÄÊØ·¨¹«Ãñ 2026-03-27 10/500 2026-04-01 17:23 by pies112
[¿¼ÑÐ] 08¹¤¿Æ275Çóµ÷¼Á£¬¿É¿ç¿¼¡£ +5 AaAa7420 2026-03-31 5/250 2026-04-01 15:21 by 159357hjz
[¿¼ÑÐ] Çóµ÷¼Á +5 Áã°Ë# 2026-03-27 5/250 2026-04-01 14:40 by yulian1987
[¿¼ÑÐ] »¯Ñ§0703 µ÷¼Á 306·Ö Ò»Ö¾Ô¸211 +12 26ÒªÉϰ¶ 2026-03-28 12/600 2026-04-01 11:10 by chemdavid
[¿¼ÑÐ] 299Çóµ÷¼Á +8 àÅàÅàÅàÅ2 2026-03-27 8/400 2026-03-31 18:23 by lizhi8172
[¿¼ÑÐ] ÇóÊÕÁô +8 1943443204 2026-03-28 8/400 2026-03-31 15:00 by -ÃÔÁË·°¡Â·
[¿¼ÑÐ] 266·Ö£¬Çó²ÄÁÏÒ±½ðÄÜÔ´»¯¹¤µÈµ÷¼Á +8 ÍÛºôºßºôºß 2026-03-27 10/500 2026-03-31 13:35 by Huaxue_Wang
[¿¼ÑÐ] 322Çóµ÷¼Á +10 ËÎÃ÷ÐÀ 2026-03-27 10/500 2026-03-30 18:47 by 544594351
ÐÅÏ¢Ìáʾ
ÇëÌî´¦ÀíÒâ¼û