| ²é¿´: 406 | »Ø¸´: 2 | |
yyfeifeiľ³æ (ÕýʽдÊÖ)
|
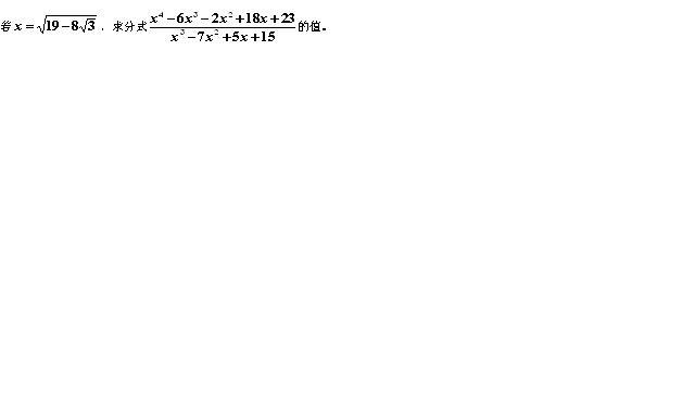
[ÇóÖú]
Ò»µÀ³õÖÐÊýѧ5½ð±Ò
|
|
|
|
| »ØÌûÖö¥ ( ¹²ÓÐ1¸ö ) | |
lingyuandageľ³æ (Ö°Òµ×÷¼Ò)
Ô¶
|
|
![]() |
|
|
3Â¥2012-07-27 09:26:21
|
|
| ÆÕͨ»ØÌû | |
ÔÆµ·çÇáС¸Õгæ (СÓÐÃûÆø)
|
|
|
2Â¥2012-07-26 21:23:58
|
|














»Ø¸´´ËÂ¥
