| 查看: 895 | 回复: 8 | |
[求助]
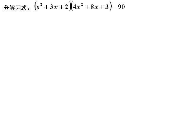
一道初中数学5金币
|
|
|
|
|
|
2楼2012-05-03 11:36:47
|
|
|
3楼2012-05-03 13:05:47
|
|
追梦泠然铁杆木虫 (著名写手)
|
|
|
4楼2012-05-03 13:32:13
|
|
追梦泠然铁杆木虫 (著名写手)
|
|
|
5楼2012-05-03 13:34:45
|
|
mygah至尊木虫 (职业作家)
|
|
![]() |
|
|
6楼2012-05-03 15:32:31
|
|
追梦泠然铁杆木虫 (著名写手)
|
|
|
7楼2012-05-03 15:51:47
|
|
|
8楼2012-05-03 23:12:00
|
|
xiaoshaduanj铁虫 (正式写手)
|
|
|
9楼2012-05-04 19:33:47
|
|














回复此楼

