版块导航
正在加载中...
客户端APP下载
论文辅导
申博辅导
登录
注册
帖子
帖子
用户
本版
应《网络安全法》要求,自2017年10月1日起,未进行实名认证将不得使用互联网跟帖服务。为保障您的帐号能够正常使用,请尽快对帐号进行手机号验证,感谢您的理解与支持!
24小时热门版块排行榜
>
论坛更新日志
(587)
>
虫友互识
(52)
>
导师招生
(12)
>
硕博家园
(10)
>
休闲灌水
(9)
>
博后之家
(8)
>
考博
(7)
>
论文投稿
(7)
>
文献求助
(6)
>
公派出国
(5)
>
考研
(5)
>
基金申请
(4)
>
教师之家
(4)
>
找工作
(3)
>
论文道贺祈福
(2)
>
海外博后
(1)
小木虫论坛-学术科研互动平台
»
计算模拟区
»
第一性原理
»
Vasp&MedeA
»
vasp 有介电实部和虚部计算的光吸收单位
3
1/1
返回列表
查看: 1796 | 回复: 2
只看楼主
@他人
存档
新回复提醒
(忽略)
收藏
在APP中查看
xx2008
新虫
(小有名气)
应助: 0
(幼儿园)
金币: 6.3
散金: 65
帖子: 228
在线: 95.2小时
虫号: 646702
注册: 2008-11-05
[
求助
]
vasp 有介电实部和虚部计算的光吸收单位
大家好,从vasp计算出来介电函数的实部和虚部。然后我计算的光吸收。但是我看文献中光吸收的单位1 /cm,怎么换算呀。
谢谢
回复此楼
» 猜你喜欢
存款400万可以在学校里躺平吗
已经有15人回复
拟解决的关键科学问题还要不要写
已经有6人回复
Materials Today Chemistry审稿周期
已经有6人回复
基金委咋了?2026年的指南还没有出来?
已经有10人回复
基金申报
已经有6人回复
推荐一本书
已经有13人回复
国自然申请面上模板最新2026版出了吗?
已经有17人回复
纳米粒子粒径的测量
已经有8人回复
疑惑?
已经有5人回复
计算机、0854电子信息(085401-058412)调剂
已经有5人回复
» 本主题相关价值贴推荐,对您同样有帮助:
岛津aa-6800原子吸收分光光度计操作指南
已经有60人回复
请教VASP如何在NEB计算之后做指前因子计算?
已经有7人回复
vasp结构优化中EDIFF以及KPOINTS设置,以及氢吸附结合能问题!
已经有17人回复
如何将VASP中的CONCAR导入到MS中??
已经有14人回复
关于VASP一些琐事的求助(K点,吸附优化等)
已经有12人回复
请教各位高手,VASP算电荷有序需要设哪些参数啊?
已经有10人回复
vasp自洽计算K点不匹配问题,急!!
已经有15人回复
vasp算出来的文件基本都是0字节的
已经有24人回复
【求助】请教大侠们:怎么将介电常数的实部和虚部在origin里面进行cole-cole 拟合?
已经有18人回复
不想这样虚度光阴(求建议)
已经有20人回复
【转帖】如果开办VASP培训班,你最想学到什么?
已经有25人回复
【求助】VASP算固溶体
已经有12人回复
【求助】为什么vasp运行时cpu使用率很不均衡?
已经有9人回复
【求助】求教VASP计算介电常数步骤
已经有16人回复
1楼
2012-07-19 05:26:29
已阅
回复此楼
关注TA
给TA发消息
送TA红花
TA的回帖
韩D小希
铁虫
(正式写手)
应助: 0
(幼儿园)
金币: 193.3
散金: 29
红花: 4
帖子: 440
在线: 157.7小时
虫号: 1249416
注册: 2011-03-30
专业: 凝聚态物性 II :电子结构
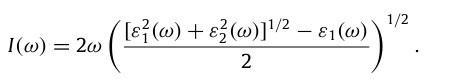
您好,我现在也面临这个问题,不知道您最后解决了么,我现在算得的光吸收很小啊,但是看文献上都是10000量级的啊,下面是我用到的公式,麻烦您指点一下,谢谢。
未命名.jpg
赞
一下
回复此楼
2楼
2013-03-29 15:47:25
已阅
回复此楼
关注TA
给TA发消息
送TA红花
TA的回帖
xukang430
新虫
(小有名气)
应助: 0
(幼儿园)
金币: 1109
散金: 53
帖子: 102
在线: 69.9小时
虫号: 3813807
注册: 2015-04-16
专业: 凝聚态物性 II :电子结构
引用回帖:
2楼
:
Originally posted by
韩D小希
at 2013-03-29 15:47:25
您好,我现在也面临这个问题,不知道您最后解决了么,我现在算得的光吸收很小啊,但是看文献上都是10000量级的啊,下面是我用到的公式,麻烦您指点一下,谢谢。
未命名.jpg
...
请问这个公式里的欧米伽怎么得到呢?
赞
一下
回复此楼
3楼
2016-09-12 19:41:43
已阅
回复此楼
关注TA
给TA发消息
送TA红花
TA的回帖
相关版块跳转
第一性原理
量子化学
计算模拟
分子模拟
仿真模拟
程序语言
我要订阅楼主
xx2008
的主题更新
3
1/1
返回列表
如果回帖内容含有宣传信息,请如实选中。否则帐号将被全论坛禁言
普通表情
龙
兔
虎
猫
百度网盘
|
360云盘
|
千易网盘
|
华为网盘
在新窗口页面中打开自己喜欢的网盘网站,将文件上传后,然后将下载链接复制到帖子内容中就可以了。
信息提示
关闭
请填处理意见
关闭
确定