²é¿´: 1346  |  »Ø¸´: 5

xxz903

½ð³æ (СÓÐÃûÆø)

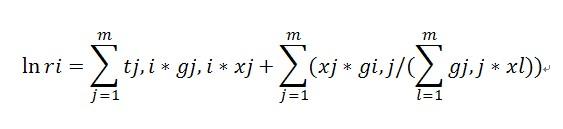
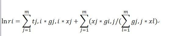
[ÇóÖú] 1STOPT¿ÉÒÔÄâºÏÒ»ÏÂÐÎʽµÄ·½³Ì×éÂð£¿

¸ß°æ±¾µÄ1STOPT ¿É²»¿ÉÒÔÄâºÏ¶þάÊý×éÀÛºÍÐÎʽµÄ²ÎÊý£¿ ÀýÈçһϹ«Ê½µÄÄâºÏ
»Ø¸´´ËÂ¥

» ²ÂÄãϲ»¶

» ±¾Ö÷ÌâÏà¹Ø¼ÛÖµÌùÍÆ¼ö£¬¶ÔÄúͬÑùÓаïÖú:

ÒÑÔÄ   »Ø¸´´ËÂ¥   ¹Ø×¢TA ¸øTA·¢ÏûÏ¢ ËÍTAºì»¨ TAµÄ»ØÌû

xxz903

½ð³æ (СÓÐÃûÆø)

ÉÙ´òÁËÒ»¸öÀ¨ºÅ~ÈçÏµķ½³Ì


2Â¥2012-07-12 15:54:04
ÒÑÔÄ   »Ø¸´´ËÂ¥   ¹Ø×¢TA ¸øTA·¢ÏûÏ¢ ËÍTAºì»¨ TAµÄ»ØÌû

xxz903

½ð³æ (СÓÐÃûÆø)

»òÕßÕâÖÖÐÎʽµÄ·½³Ì£¡


3Â¥2012-07-12 16:12:03
ÒÑÔÄ   »Ø¸´´ËÂ¥   ¹Ø×¢TA ¸øTA·¢ÏûÏ¢ ËÍTAºì»¨ TAµÄ»ØÌû

dingd

Ìú¸Ëľ³æ (Ö°Òµ×÷¼Ò)

¡¾´ð°¸¡¿Ó¦Öú»ØÌû

¡ï ¡ï ¡ï ¡ï
¸Ðл²ÎÓ룬ӦÖúÖ¸Êý +1
xxz903: ½ð±Ò+4, ¡ïÓаïÖú 2012-09-11 20:19:12
Ã÷È·×Ô±äÁ¿¡¢Òò±äÁ¿£¬ÓÃ1stOpt¼ÆËãÓ¦¸ÃûÎÊÌâ°É¡£
4Â¥2012-07-13 09:56:16
ÒÑÔÄ   »Ø¸´´ËÂ¥   ¹Ø×¢TA ¸øTA·¢ÏûÏ¢ ËÍTAºì»¨ TAµÄ»ØÌû

xxz903

½ð³æ (СÓÐÃûÆø)

ÒýÓûØÌû:
4Â¥: Originally posted by dingd at 2012-07-13 09:56:16
Ã÷È·×Ô±äÁ¿¡¢Òò±äÁ¿£¬ÓÃ1stOpt¼ÆËãÓ¦¸ÃûÎÊÌâ°É¡£

Õâ¸öÊDz»ÊÇÖ»ÄÜÓñà³Ìģʽ¼ÆËã°¡£¿
5Â¥2012-07-15 23:21:52
ÒÑÔÄ   »Ø¸´´ËÂ¥   ¹Ø×¢TA ¸øTA·¢ÏûÏ¢ ËÍTAºì»¨ TAµÄ»ØÌû

dingd

Ìú¸Ëľ³æ (Ö°Òµ×÷¼Ò)

Àϰ汾²»ÖªµÀ£¬Ð°汾¿ì½Ýģʽ¾Í¿ÉÒÔ°É¡£
6Â¥2012-09-11 21:07:49
ÒÑÔÄ   »Ø¸´´ËÂ¥   ¹Ø×¢TA ¸øTA·¢ÏûÏ¢ ËÍTAºì»¨ TAµÄ»ØÌû
Ïà¹Ø°æ¿éÌø×ª ÎÒÒª¶©ÔÄÂ¥Ö÷ xxz903 µÄÖ÷Ìâ¸üÐÂ
×î¾ßÈËÆøÈÈÌûÍÆ¼ö [²é¿´È«²¿] ×÷Õß »Ø/¿´ ×îºó·¢±í
[¿¼ÑÐ] Ò»Ö¾Ô¸Î÷°²½»Í¨´óѧ²ÄÁϹ¤³Ìרҵ 282·ÖÇóµ÷¼Á +7 ·ãÇÅZL 2026-03-18 9/450 2026-03-21 09:56 by JineShine
[¿¼ÑÐ] 302Çóµ÷¼Á +11 ºôºôºô¡£¡£¡£¡£ 2026-03-17 11/550 2026-03-21 08:29 by JourneyLucky
[¿¼ÑÐ] 316Çóµ÷¼Á +6 ÁºÜçö© 2026-03-19 6/300 2026-03-21 06:32 by Ecowxq666£¡
[¿¼ÑÐ] Ò»Ö¾Ô¸Ìì½ò´óѧ»¯Ñ§¹¤ÒÕרҵ£¨081702£©315·ÖÇóµ÷¼Á +12 yangfz 2026-03-17 12/600 2026-03-21 03:30 by JourneyLucky
[¿¼ÑÐ] 265Çóµ÷¼Á +9 ÁºÁºÐ£Ð£ 2026-03-17 9/450 2026-03-21 02:17 by JourneyLucky
[¿¼ÑÐ] 278Çóµ÷¼Á +6 ÑÌ»ðÏÈÓÚ´º 2026-03-17 6/300 2026-03-21 01:57 by JourneyLucky
[¿¼ÑÐ] ²ÄÁÏ 336 Çóµ÷¼Á +3 An@. 2026-03-18 4/200 2026-03-21 01:39 by JourneyLucky
[¿¼ÑÐ] Ò»Ö¾Ô¸ Î÷±±´óѧ £¬070300»¯Ñ§Ñ§Ë¶£¬×Ü·Ö287£¬Ë«·ÇÒ»±¾£¬Çóµ÷¼Á¡£ +3 ³¿»èÏßÓëÐǺ£ 2026-03-18 3/150 2026-03-21 00:46 by JourneyLucky
[¿¼ÑÐ] 274Çóµ÷¼Á +10 S.H1 2026-03-18 10/500 2026-03-20 23:51 by JourneyLucky
[¿¼ÑÐ] 321Çóµ÷¼Á +9 ºÎÈó²É123 2026-03-18 11/550 2026-03-20 23:19 by JourneyLucky
[¿¼ÑÐ] Ò»Ö¾Ô¸Î人Àí¹¤²ÄÁϹ¤³Ìר˶µ÷¼Á +9 Doleres 2026-03-19 9/450 2026-03-20 22:36 by JourneyLucky
[¿¼ÑÐ] 086500 325 Çóµ÷¼Á +3 Áì´øÐ¡ÐÜ 2026-03-19 3/150 2026-03-20 18:38 by ¾¡Ë´Ò¢1
[¿¼ÑÐ] 0703»¯Ñ§µ÷¼Á +5 pupcoco 2026-03-17 8/400 2026-03-19 13:58 by houyaoxu
[¿¼ÑÐ] ²ÄÁÏ¿¼Ñе÷¼Á +3 xwt¡£ 2026-03-19 3/150 2026-03-19 11:22 by wãåÑôw
[¿¼ÑÐ] 344Çóµ÷¼Á +6 knight344 2026-03-16 7/350 2026-03-18 20:13 by walc
[¿¼ÑÐ] 0854£¬¼ÆËã»úÀàÕÐÊÕµ÷¼Á +3 ºúÀ±ÌÀ·ÅÌÇ 2026-03-15 6/300 2026-03-18 12:09 by Éϰ¶Éϰ¶¡­¡­..
[¿¼ÑÐ] 334Çóµ÷¼Á +3 Ö¾´æ¸ßÔ¶ÒâÔÚ»úÐ 2026-03-16 3/150 2026-03-18 08:34 by lm4875102
[¿¼ÑÐ] 301Çóµ÷¼Á +4 A_JiXing 2026-03-16 4/200 2026-03-17 17:32 by ruiyingmiao
[¿¼ÑÐ] 275Çóµ÷¼Á +4 Ì«Ñô»¨ÌìÌ쿪ÐÄ 2026-03-16 4/200 2026-03-17 10:53 by ¹¦·ò·è¿ñ
[¿¼ÑÐ] 333Çóµ÷¼Á +3 ÎÄ˼¿Í 2026-03-16 7/350 2026-03-16 18:21 by ÎÄ˼¿Í
ÐÅÏ¢Ìáʾ
ÇëÌî´¦ÀíÒâ¼û