| 查看: 801 | 回复: 4 | |
weijian1215铜虫 (正式写手)
|
[求助]
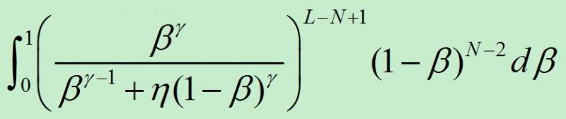
求助一个积分计算问题(用Mathematica计算出结果也算)
|
|
|
|
afu2007铁杆木虫 (职业作家)
|
|
|
2楼2012-06-08 00:29:43
|
|
weijian1215铜虫 (正式写手)
|
|
|
3楼2012-06-08 21:50:44
|
|
wjlwyk新虫 (正式写手)
|
|
|
4楼2012-06-30 19:03:40
|
|
![]() |
|
|
5楼2012-07-02 11:16:26
|
|














回复此楼
