| 查看: 619 | 回复: 3 | ||
[求助]
GPC图谱求救
|
|
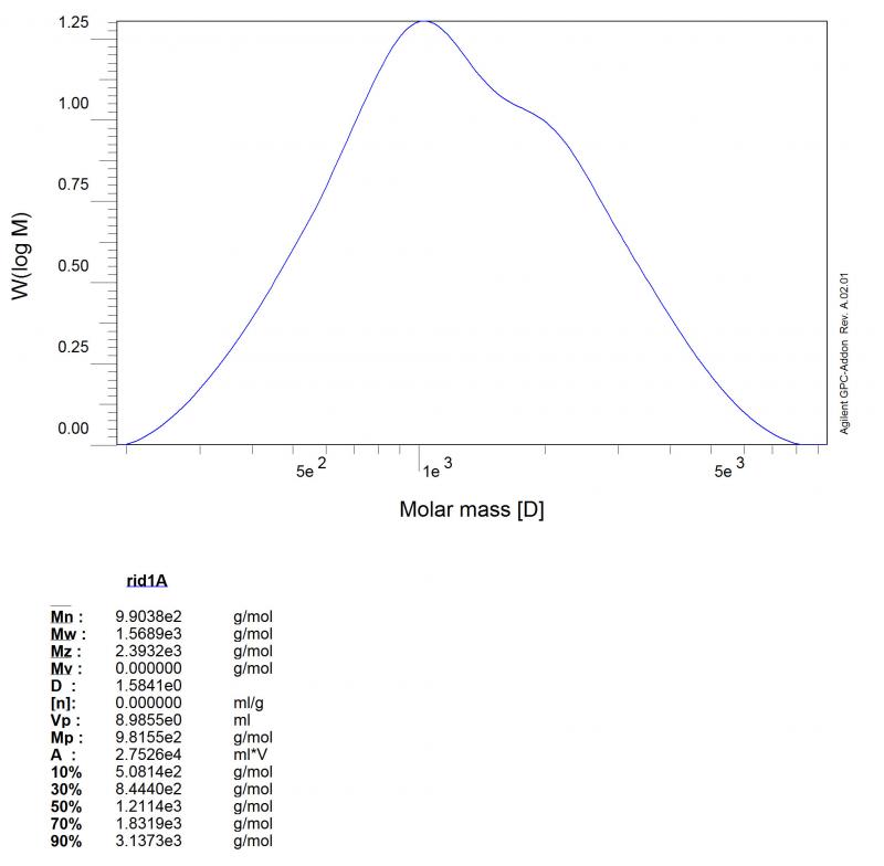
如图,图中横坐标、纵坐标分别表示什么? 图底下Mn表示数均分子量,Mw表示重均分子量,Mz表示Z均分子量 那其余的表示什么意思? 求大神指导~~~~ ![]() ![]() ![]() ![]() ![]() [ Last edited by 遥遥007 on 2012-5-17 at 15:46 ] |
» 猜你喜欢
职称评审没过,求安慰
已经有31人回复
垃圾破二本职称评审标准
已经有17人回复
回收溶剂求助
已经有6人回复
投稿Elsevier的Neoplasia杂志,到最后选publishing options时页面空白,不能完成投稿
已经有22人回复
申请26博士
已经有5人回复
EST投稿状态问题
已经有7人回复
毕业后当辅导员了,天天各种学生超烦
已经有4人回复
聘U V热熔胶研究人员
已经有10人回复
求助文献
已经有3人回复
投稿返修后收到这样的回复,还有希望吗
已经有8人回复
» 本主题相关商家推荐: (我也要在这里推广)
» 本主题相关价值贴推荐,对您同样有帮助:
GPC图谱,初次做不知道是否正确,请高手指点
已经有14人回复
帮忙解析下GPC的图谱
已经有18人回复
刚做的GPC图谱,THF,求高手给些解释
已经有19人回复
求助,GPC图分析问题,求大侠指点!1
已经有12人回复
急急急!GPC谱图分析
已经有19人回复
【求助】谁知道GPC谱图里纵坐标dw/dlogM的含义
已经有4人回复
【求助】GPC图谱问题
已经有9人回复
【求助】急!请高人帮我看看我的GPC 图
已经有26人回复
【求助】Waters breeze GPC图谱解析?
已经有22人回复
【求助】GPC谱图一般怎么分析呢?帮小弟看下
已经有14人回复
【求助】关于GPC图求助
已经有9人回复
【求助】请教高手一个GPC图谱的解析
已经有11人回复
【交流】做过聚丙烯酸GPC的请进
已经有14人回复
【求助】GPC图转化
已经有7人回复
2楼2012-05-18 15:15:01
Dr_Jesse
铁杆木虫 (著名写手)
沧海一粟,浩宇星尘
- 应助: 204 (大学生)
- 金币: 7086.7
- 散金: 2151
- 红花: 42
- 帖子: 1243
- 在线: 432.5小时
- 虫号: 1123054
- 注册: 2010-10-15
- 性别: GG
- 专业: 高分子合成化学

3楼2012-05-19 11:32:32
感谢参与,应助指数 +1
|
本帖内容被屏蔽 |
4楼2012-05-19 13:04:07














回复此楼