| ²é¿´: 914 | »Ø¸´: 2 | ||
| ±¾Ìû²úÉú 1 ¸ö ʳƷEPI £¬µã»÷ÕâÀï½øÐв鿴 | ||
°®Àò¶ùгæ (СÓÐÃûÆø)
|
[ÇóÖú]
ÇóÖú£ºCIELab·¨²âºì¾ÆµÄÑÕÉ«
|
|
¶ÁÑÐʱ¿ÉÓà |
» ²ÂÄãϲ»¶
Ò»Ö¾Ô¸ÉϺ£º£Ñó´óѧ083200,303·ÖÇóµ÷¼Á
ÒѾÓÐ0È˻ظ´
ʳƷ¿ÆÑ§µ÷¼Á½»Á÷
ÒѾÓÐ0È˻ظ´
ʳƷ¿ÆÑ§ÂÛÎÄÈóÉ«/·ÒëÔõôÊÕ·Ñ?
ÒѾÓÐ294È˻ظ´
ʳƷѧ˶362Çóµ÷¼Á
ÒѾÓÐ3È˻ظ´
Ò»Ö¾Ô¸ÉϺ£º£Ñó´óѧ083200ʳƷѧ˶£¬Çóµ÷¼Á£¬½ÓÊÜÆäËûרҵ
ÒѾÓÐ11È˻ظ´
ʳƷµ÷¼Á08¿¼Êýѧ¿Éµ÷
ÒѾÓÐ0È˻ظ´
ʳƷ¹¤³Ìµ÷¼Á
ÒѾÓÐ2È˻ظ´
09£¬Ê³Æ·ÓëÓªÑø272Çóµ÷¼Á
ÒѾÓÐ0È˻ظ´
Ò»Ö¾Ô¸ÉϺ£º£Ñó´óѧ083200ʳƷѧ˶£¬Çóµ÷¼Á£¬½ÓÊÜÆäËûרҵ083200
ÒѾÓÐ5È˻ظ´
¹ã¶«º£Ñó´óѧʳƷ¿ÆÑ§Ó빤³Ì¡¢ÉúÎïÓëÒ½Ò©ÕÐÊÕµ÷¼Á¿¼Éú
ÒѾÓÐ0È˻ظ´
» ±¾Ö÷ÌâÏà¹Ø¼ÛÖµÌùÍÆ¼ö£¬¶ÔÄúͬÑùÓаïÖú:
ÇóÖúʯ¨²âǦºÍïÓ¼ì³öÏÞÎÊÌ⣿
ÒѾÓÐ4È˻ظ´
¡¾ÇóÖú¡¿ÓÐͨ¹ýBET·¨²âTiO2±È±íÃæ»ýµÄÂð
ÒѾÓÐ6È˻ظ´
¡¾ÇóÖú¡¿·«²¼³Á½µ·¨²âÈóʪÐÔ
ÒѾÓÐ4È˻ظ´
¡¾ÇóÖú¡¿ÂÈ»¯ÑÇÎý»¹Ô¹â¶È·¨²âË®ÖÐ×ÜÁ×
ÒѾÓÐ8È˻ظ´
¡¾ÇóÖú/½»Á÷¡¿Ô×ÓÎüÊÕ·Ö¹â¹â¶È·¨²âÖØ½ðÊôº¬Á¿
ÒѾÓÐ10È˻ظ´
¡¾ÇóÖú¡¿µâÁ¿·¨²âÈܽâÑõµÄһЩÎÊÌâ
ÒѾÓÐ7È˻ظ´
¡¾ÇóÖú/½»Á÷¡¿ÇóÖú¼ä½ÓElisa·¨²â¶à¿¹Ð§¼Û¾ßÌå²½Öè
ÒѾÓÐ6È˻ظ´
¡¾ÇóÖú¡¿·ÅÃâ·¨²âÑªË¨ËØTXB2ÊÇÓÃ×éÖ¯²â»¹ÊÇÓÃѪ½¬²âºÃ°¡
ÒѾÓÐ7È˻ظ´
¡¾ÇóÖú¡¿ÜáÈýͪ·¨²âË®½â¶ÈµÄÏà¹ØÎÊÌâ
ÒѾÓÐ10È˻ظ´
¡¾ÇóÖú¡¿ÇëÎÊ¿âÂ×·¨²â΢Á¿Ë®£¨¿¨¶û·ÑÐÞÊÔ¼Á£©ÎªÊ²Ã´²»¿É¼ì²â´øôÊ»ùµÄ»¯ºÏÎ
ÒѾÓÐ9È˻ظ´
user59888
½ð³æ (ÎÄ̳¾«Ó¢)
¹¬´´Ê¼ÈË ------СÄÝ
- ʳƷEPI: 15
- Ó¦Öú: 461 (˶ʿ)
- ¹ó±ö: 0.463
- ½ð±Ò: 1221.8
- É¢½ð: 38093
- ºì»¨: 1140
- ɳ·¢: 950
- Ìû×Ó: 40334
- ÔÚÏß: 1737.1Сʱ
- ³æºÅ: 1737174
- ×¢²á: 2012-04-05
- רҵ: ʳƷ¼Ó¹¤¼¼Êõ
¡¾´ð°¸¡¿Ó¦Öú»ØÌû
¡ï ¡ï ¡ï ¡ï
¸Ðл²ÎÓ룬ӦÖúÖ¸Êý +1
hsd3521: ʳƷEPI+1 2012-04-23 19:39:05
hsd3521: ½ð±Ò+1, ¸ÐлÄú½üÆÚ¶Ô¹ã´ó³æÓѵĻý¼«°ïÖú 2012-04-23 19:39:29
°®Àò¶ù: ½ð±Ò+3, ¡ï¡ï¡ïºÜÓаïÖú 2012-04-24 09:44:36
¸Ðл²ÎÓ룬ӦÖúÖ¸Êý +1
hsd3521: ʳƷEPI+1 2012-04-23 19:39:05
hsd3521: ½ð±Ò+1, ¸ÐлÄú½üÆÚ¶Ô¹ã´ó³æÓѵĻý¼«°ïÖú 2012-04-23 19:39:29
°®Àò¶ù: ½ð±Ò+3, ¡ï¡ï¡ïºÜÓаïÖú 2012-04-24 09:44:36
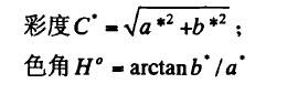
| ÔÚXYZ±íɫϵͳ£¬ÓÃX¡¢Y¡¢Z±íʾÑÕÉ«µÄÈý´Ì¼¤Öµ£¬ÓÃx¡¢ y±íÊ¾É«Æ·×ø±ê¡£ÔÚHunterLab±íɫϵͳ£¬ÓÃL¡¢a¡¢b±íʾÑÕÉ«£¬ÆäÖÐLΪÃ÷¶ÈÖ¸Êý£¬a¡¢bΪɫƷָÊý¡£ÔÚCIE1976L£ªa£ªb£ª±íɫϵͳ£¬ÓÃL£ª¡¢a£ª¡¢b£ª»òL£ª¡¢C£ª¡¢h±íʾÑÕÉ«£¬ÆäÖÐL£ªÎªÃ÷¶ÈÖ¸Êý£¬a£ª¡¢b£ªÎªÉ«Æ·Ö¸Êý£¬C£ªÎª²Ê¶È£¬hΪɫµ÷½Ç¡£ÔںܶಿÃÅ£¬ÓÐʱ¶Ô±íÕ÷ÎïÌåÑÕÉ«µÄ¾ø¶ÔÖµ²ÎÁ¿±¾Éí²¢²»¸ÐÐËȤ£¬¶øÊÇÈÏΪ¸÷ÎïÌåÖ®¼äµÄÑÕÉ«²î±ð£¬ÓÈÆäÊÇͬÅú²úÆ·ÖÐÓëËüÃǵıê×¼ÑùÆ·Ö®¼äµÄÉ«²î¸üÎªÖØÒª¡£Ä³Ò»ÖÖÑÕÉ«Óë±ê׼ɫ֮¼äµÄÉ«²îÓÃ∆E»ò∆E£ª±íʾ |
» ±¾ÌûÒÑ»ñµÃµÄºì»¨£¨×îÐÂ10¶ä£©

2Â¥2012-04-23 18:55:48
°®Àò¶ù
гæ (СÓÐÃûÆø)
- Ó¦Öú: 2 (Ó×¶ùÔ°)
- ½ð±Ò: 308.7
- ºì»¨: 2
- Ìû×Ó: 246
- ÔÚÏß: 28.9Сʱ
- ³æºÅ: 786755
- ×¢²á: 2009-06-04
- רҵ: ÖÊÆ×·ÖÎö
3Â¥2012-04-23 22:42:24














»Ø¸´´ËÂ¥
°®Àò¶ù