| 查看: 6824 | 回复: 1 | |
[求助]
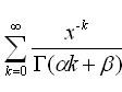
Origin自定义拟合时伽马函数,求和,求积分函数的具体公式怎么输入?
|
|
|
|
|
向阳奔跑
|
|
|
2楼2018-07-23 21:12:22
|
|













回复此楼
20