±±¾©Ê¯ÓÍ»¯¹¤Ñ§Ôº2026ÄêÑо¿ÉúÕÐÉú½ÓÊÕµ÷¼Á¹«¸æ
²é¿´: 2437  |  »Ø¸´: 1

ÎÞËùν109

Òø³æ (ÕýʽдÊÖ)

[ÇóÖú] PÐͰ뵼ÌåºÍNÐͰ뵼Ìåͨ¹ýmott-schottky±æ±ð

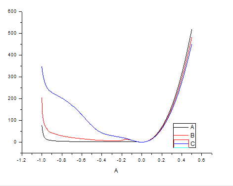
¸ù¾Ý£¨http://muchong.com/bbs/viewthread.php?tid=2642178&page=1#pid351286£©×öÁ˲¢ÇÒ´¦ÀíÁËÏà¹ØÊý¾Ý£¬µ«ÊǵóöÁËÕâÑùµÄÊý¾Ý£¬²»ÖªµÀÔõô·ÖÎöÁË......
»Ø¸´´ËÂ¥

» ²ÂÄãϲ»¶

» ±¾Ö÷ÌâÏà¹Ø¼ÛÖµÌùÍÆ¼ö£¬¶ÔÄúͬÑùÓаïÖú:

Ïò½ð×ÖËþ¶¥ÅʵÇ
ÒÑÔÄ   ¹Ø×¢TA ¸øTA·¢ÏûÏ¢ ËÍTAºì»¨ TAµÄ»ØÌû

jjfyj

ÖÁ×ðľ³æ (ÖøÃûдÊÖ)

¡¾´ð°¸¡¿Ó¦Öú»ØÌû

Ñõ»¯Ä¤´æÔÚË«²ã½á¹¹£¬µÍÓÚ0VµÄ³ÊÏÖpÐÍ£¬¸ßÓÚ0V±íÏÖΪnÐͰ뵼ÌåÐÔÖÊ
committed_to_excellent
2Â¥2012-07-05 16:36:33
ÒÑÔÄ   ¹Ø×¢TA ¸øTA·¢ÏûÏ¢ ËÍTAºì»¨ TAµÄ»ØÌû
Ïà¹Ø°æ¿éÌø×ª ÎÒÒª¶©ÔÄÂ¥Ö÷ Janus2024 µÄÖ÷Ìâ¸üÐÂ
×î¾ßÈËÆøÈÈÌûÍÆ¼ö [²é¿´È«²¿] ×÷Õß »Ø/¿´ ×îºó·¢±í
[¿¼ÑÐ] Ò»Ö¾Ô¸ÄÏ¿ª´óѧ0710ÉúÎïѧ359Çóµ÷¼Á +6 ÍÃÍÃÍÃ111223314 2026-03-29 8/400 2026-04-02 22:37 by louise0220
[¿¼ÑÐ] ²ÄÁϵ÷¼Á +8 ÀÁÑòÑòÇáÖÃÓñÍÎ 2026-04-02 8/400 2026-04-02 22:03 by liu823948201
[¿¼ÑÐ] ¹¤¿Æ 267Çóµ÷¼Á +3 wanwan00 2026-04-02 5/250 2026-04-02 21:42 by wanwan00
[¿¼ÑÐ] 321Çóµ÷¼Á +12 y-yh 2026-04-01 14/700 2026-04-02 19:34 by ÅÁ¶ûÂíÀ­ÌØ
[¿¼ÑÐ] 282Çóµ÷¼Á +13 ºôÎü¶¼ÊǼõ·Ê 2026-04-01 13/650 2026-04-02 14:10 by baoball
[¿¼ÑÐ] 348Çóµ÷¼Á +6 ÎâÑå׿24k 2026-04-02 6/300 2026-04-02 14:07 by ¸øÄãÄã×¢ÒâÐÝÏ¢
[¿¼ÑÐ] 275Çóµ÷¼Á +12 waltzh 2026-04-01 12/600 2026-04-01 21:44 by chyhaha
[¿¼ÑÐ] 320·Ö£¬²ÄÁÏÓ뻯¹¤×¨Òµ£¬Çóµ÷¼Á +14 Ò»¶¨Éϰ¶aaa 2026-03-27 18/900 2026-04-01 20:10 by »ý¼«µ÷¼ÁµÄСѧÉ
[¿¼ÑÐ] 08¹¤¿Æ£¬295£¬½ÓÊÜ¿çרҵµ÷¼Á +6 lmnlzy 2026-03-31 6/300 2026-04-01 11:02 by ÄæË®³Ë·ç
[¿¼ÑÐ] 339Çóµ÷¼Á +5 zjjkt 2026-03-31 5/250 2026-04-01 09:18 by JourneyLucky
[¿¼ÑÐ] 080200ѧ˶£¬»úе¹¤³Ìרҵ277·Ö£¬Çó´ø×ߣ¡ +4 Æ¿×ÓPZ 2026-03-31 4/200 2026-03-31 20:16 by vgtyfty
[¿¼ÑÐ] ±¾2Ò»Ö¾Ô¸C9-333·Ö£¬²ÄÁÏ¿ÆÑ§Ó빤³Ì£¬Çóµ÷¼Á +9 ÉýÉý²»½µ 2026-03-31 9/450 2026-03-31 18:01 by Î޼ʵIJÝÔ­
[¿¼ÑÐ] 340Çóµ÷¼Á +4 Ï£ÍûÈç´Ëi 2026-03-31 4/200 2026-03-31 16:40 by 690616278
[¿¼ÑÐ] 085601 329·Öµ÷¼Á +6 yzsa12 2026-03-31 6/300 2026-03-31 15:23 by yanflower7133
[¿¼²©] ²ÄÁÏרҵÉ격 +5 ¶ÅÓêæÃdyt 2026-03-29 5/250 2026-03-31 11:19 by oooqiao
[¿¼ÑÐ] 11408×Ü·Ö309£¬Ò»Ö¾Ô¸¶«ÄÏ´óѧÇóµ÷¼Á£¬²»Ìôרҵ +5 Ì츳´øµ½THU 2026-03-29 6/300 2026-03-30 20:49 by dick_runner
[¿¼ÑÐ] 296Çóµ÷¼Á +10 ±Ë°¶t 2026-03-29 10/500 2026-03-30 10:50 by ̽123
[¿¼ÑÐ] 11408Èí¼þ¹¤³ÌÇóµ÷¼Á +3 Qiuѧing 2026-03-28 3/150 2026-03-28 21:50 by zhq0425
[¿¼ÑÐ] 085602 »¯¹¤×¨Ë¶ 338·Ö Çóµ÷¼Á +12 ·³ÕСç÷ 2026-03-27 12/600 2026-03-28 15:41 by L135790
[¿¼ÑÐ] ²ÄÁÏÓ뻯¹¤£¨0856£©304ÇóBÇøµ÷¼Á +8 Çñgl 2026-03-27 8/400 2026-03-28 12:42 by ÌÆãå¶ù
ÐÅÏ¢Ìáʾ
ÇëÌî´¦ÀíÒâ¼û