| 查看: 937 | 回复: 4 | |||
[求助]
关于一个概率分布参数估计问题
|
|||
|
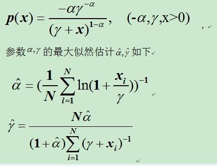
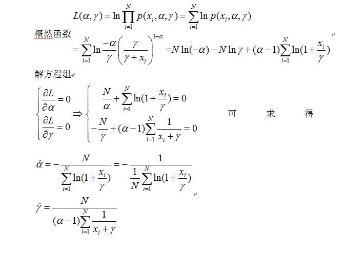
http://edu.muchong.com/attachment/d5/f8/1451847_1334143606_315.jpg 式子中的Xi是样本,N是样本个数, 有没有那位大侠能给我解释一下参数a和r的估计等式右边也含有参数r.(这个估计式子是一本书上面的;我也尝试用最大似然来求,但是没有得到如此结果),另外,能不能指导一下怎样编程实现。 希望那位高手帮一下忙,小弟不胜感激 |
» 猜你喜欢
同年申请2项不同项目,第1个项目里不写第2个项目的信息,可以吗
已经有4人回复
有时候真觉得大城市人没有县城人甚至个体户幸福
已经有10人回复
天津大学招2026.09的博士生,欢迎大家推荐交流(博导是本人)
已经有5人回复
有院领导为了换新车,用横向课题经费买了俩车
已经有5人回复
CSC & MSCA 博洛尼亚大学能源材料课题组博士/博士后招生|MSCA经费充足、排名优
已经有6人回复
面上项目申报
已经有3人回复
酰胺脱乙酰基
已经有9人回复
博士延得我,科研能力直往上蹿
已经有7人回复
面上基金申报没有其他的参与者成吗
已经有5人回复
遇见不省心的家人很难过
已经有22人回复
» 本主题相关价值贴推荐,对您同样有帮助:
试验设计与分析及参数优化-(美)C.F.Jeff Wu, Michael Hamada
已经有504人回复
风险建模、评估和管理(第2版)—(美)雅科夫·Y·海姆斯著胡平等译2007.9
已经有1人回复
ANSYS14.0
已经有15人回复
【分享】统计学方法与数据分析引论(上、下册) ((美)R.Lyman Ott, Micheal T.Longnec
已经有249人回复
dbb627
荣誉版主 (著名写手)
-

专家经验: +4 - 应助: 289 (大学生)
- 贵宾: 0.589
- 金币: 24640.4
- 散金: 551
- 红花: 61
- 沙发: 1
- 帖子: 1246
- 在线: 1794.8小时
- 虫号: 149791
- 注册: 2005-12-29
- 性别: GG
- 专业: 污染控制化学
- 管辖: 计算模拟

2楼2012-04-11 21:46:16
xiuyouxu
铁杆木虫 (职业作家)
- 应助: 43 (小学生)
- 金币: 16512.7
- 散金: 540
- 红花: 6
- 沙发: 2
- 帖子: 3207
- 在线: 580.7小时
- 虫号: 1256596
- 注册: 2011-04-06
- 性别: GG
- 专业: 数理统计

3楼2012-04-11 22:16:56
4楼2012-04-12 18:23:08
dbb627
荣誉版主 (著名写手)
-

专家经验: +4 - 应助: 289 (大学生)
- 贵宾: 0.589
- 金币: 24640.4
- 散金: 551
- 红花: 61
- 沙发: 1
- 帖子: 1246
- 在线: 1794.8小时
- 虫号: 149791
- 注册: 2005-12-29
- 性别: GG
- 专业: 污染控制化学
- 管辖: 计算模拟

5楼2012-04-12 19:22:16













回复此楼
非常谢谢