| 查看: 372 | 回复: 2 | ||
[求助]
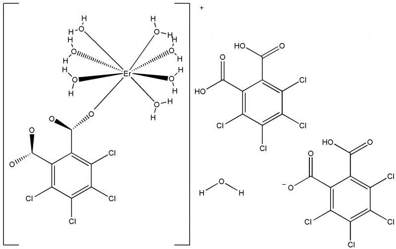
新虫用唯一的一个金币求助配合物的系统命名!
|
||
|
|
||
huahua1216至尊木虫 (文坛精英)
|
||
|
2楼2012-04-05 11:41:40
|
|
|
|
||
|
3楼2012-04-05 18:23:14
|
|













回复此楼
