| ²é¿´: 787 | »Ø¸´: 5 | ||
Êé½£Èç·çгæ (ÖøÃûдÊÖ)
|
[ÇóÖú]
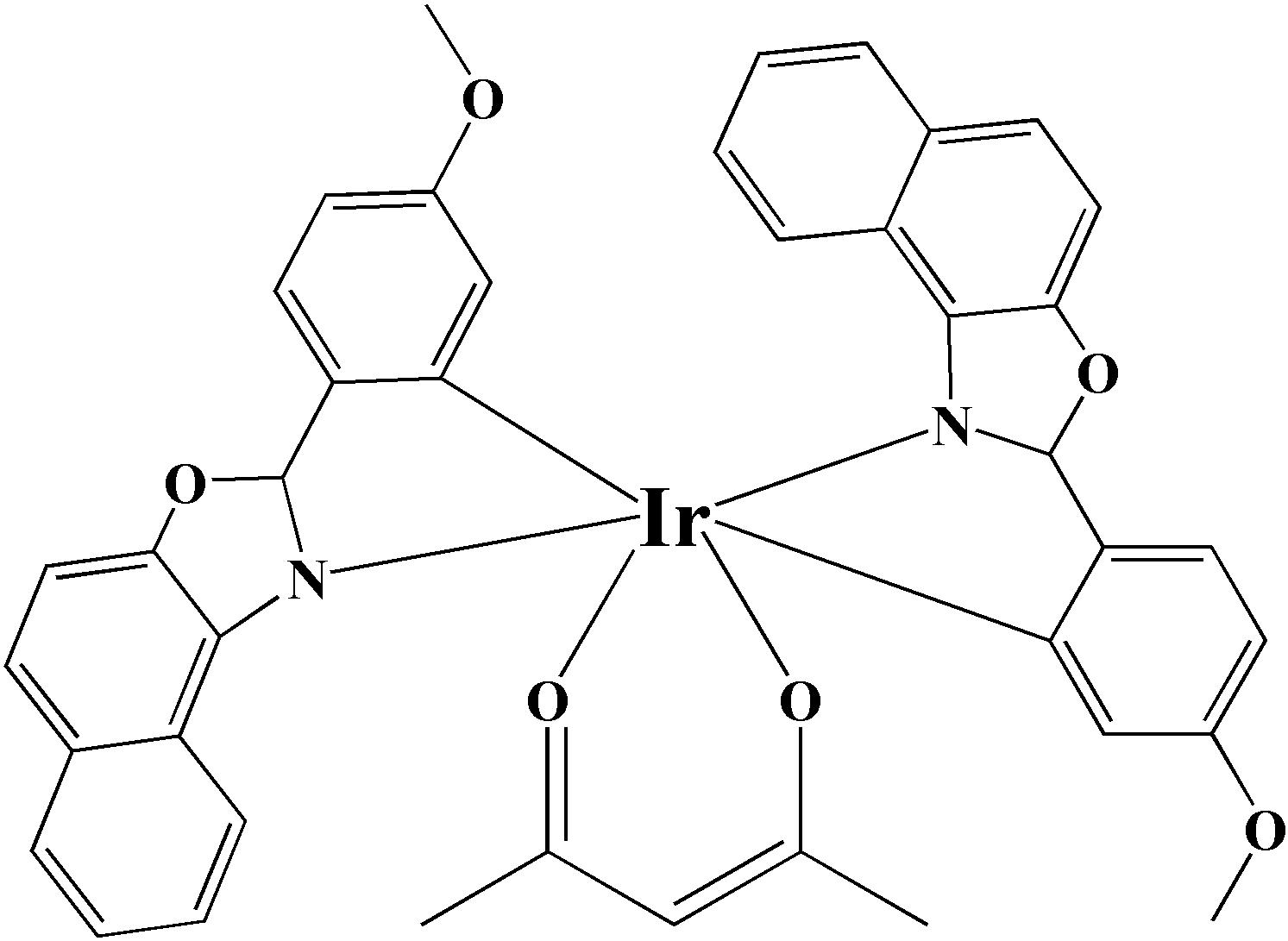
ÇóÒ»¸öÅäºÏÎï¾§ÌåµÄÃüÃû
|
|
|
|
||
JustsosoÖÁ×ðľ³æ (ÖøÃûдÊÖ)
|
¡ï ¡ï ¡ï ¡ï ¡ï ¡ï ¡ï ¡ï ¡ï ¡ï ¡ï ¡ï ¡ï ¡ï ¡ï ¡ï ¡ï ¡ï ¡ï ¡ï ¡ï ¡ï ¡ï ¡ï ¡ï ¡ï ¡ï ¡ï ¡ï ¡ï ¡ï ¡ï ¡ï ¡ï ¡ï ¡ï ¡ï ¡ï ¡ï ¡ï ¡ï ¡ï ¡ï ¡ï ¡ï ¡ï ¡ï ¡ï ¡ï ¡ï ¡ï
lichun1210(½ð±Ò+10): Â¥Ö÷½±Àø½ð±Ò! 2011-08-23 00:19:35 lichun1210(½ð±Ò+1): »¶Ó³£À´¾§Ìå°æ½»Á÷¡£ 2011-08-23 00:22:24 lichun1210(½ð±Ò+20): ÌæÂ¥Ö÷¸ø½ð±Ò 2011-08-26 08:34:24 lichun1210(½ð±Ò+20): ÌæÂ¥Ö÷¸ø½ð±Ò 2011-08-26 08:35:08
|
|
![]() |
||
|
2Â¥2011-08-22 23:38:41
|
|
|
Êé½£Èç·çгæ (ÖøÃûдÊÖ)
|
||
|
3Â¥2011-08-22 23:49:53
|
|
|
Êé½£Èç·çгæ (ÖøÃûдÊÖ)
|
||
|
4Â¥2011-08-23 00:11:05
|
|
|
JustsosoÖÁ×ðľ³æ (ÖøÃûдÊÖ)
|
||
![]() |
||
|
5Â¥2011-08-23 01:17:55
|
|
|
JustsosoÖÁ×ðľ³æ (ÖøÃûдÊÖ)
|
||
![]() |
||
|
6Â¥2011-08-23 01:24:09
|
|














»Ø¸´´ËÂ¥
