版块导航
正在加载中...
客户端APP下载
论文辅导
申博辅导
登录
注册
帖子
帖子
用户
本版
应《网络安全法》要求,自2017年10月1日起,未进行实名认证将不得使用互联网跟帖服务。为保障您的帐号能够正常使用,请尽快对帐号进行手机号验证,感谢您的理解与支持!
24小时热门版块排行榜
>
论坛更新日志
(2917)
>
虫友互识
(239)
>
文献求助
(139)
>
导师招生
(129)
>
休闲灌水
(46)
>
考博
(36)
>
硕博家园
(32)
>
博后之家
(30)
>
论文道贺祈福
(26)
>
基金申请
(25)
>
绿色求助(高悬赏)
(23)
>
招聘信息布告栏
(20)
>
教师之家
(18)
>
考研
(18)
>
找工作
(14)
>
论文投稿
(14)
小木虫论坛-学术科研互动平台
»
专业学科区
»
数学
»
基础数学
»
这个复合函数(含三角和双曲函数)的积分怎么算?
3
1/1
返回列表
查看: 1612 | 回复: 2
只看楼主
@他人
存档
新回复提醒
(忽略)
收藏
在APP中查看
crane1974
新虫
(著名写手)
应助: 0
(幼儿园)
金币: 2719.8
帖子: 1223
在线: 170.7小时
虫号: 992246
[交流]
这个复合函数(含三角和双曲函数)的积分怎么算?
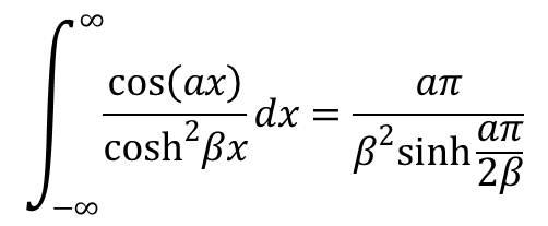
一个三角函数和双曲函数的复合函数的积分,见附件。谢谢!
用maple12算了,没有结果,试了分部积分等常规方法也不行。
\int^infty_{- \infty} \frac{cos(a x)}{cosh^2(x)}。
被积函数为(余弦函数)除以(双曲余弦函数的平方),从负无穷积到正无穷。
积分
回复此楼
» 猜你喜欢
同年申请2项不同项目,第1个项目里不写第2个项目的信息,可以吗
已经有4人回复
有时候真觉得大城市人没有县城人甚至个体户幸福
已经有10人回复
天津大学招2026.09的博士生,欢迎大家推荐交流(博导是本人)
已经有5人回复
有院领导为了换新车,用横向课题经费买了俩车
已经有5人回复
CSC & MSCA 博洛尼亚大学能源材料课题组博士/博士后招生|MSCA经费充足、排名优
已经有6人回复
面上项目申报
已经有3人回复
酰胺脱乙酰基
已经有9人回复
博士延得我,科研能力直往上蹿
已经有7人回复
面上基金申报没有其他的参与者成吗
已经有5人回复
遇见不省心的家人很难过
已经有22人回复
高级回复
» 本主题相关价值贴推荐,对您同样有帮助:
inv函数
已经有3人回复
纳米管功函数计算
已经有27人回复
毕设,数学相关专业,求指导!
已经有18人回复
关于数学期望与取符号函数的运算次序
已经有8人回复
求ORIGIN拟合包含隐函数的定积分方法
已经有6人回复
【分享】2011考研数学二大纲
已经有9人回复
【讨论】预调件共轭梯度法(PCG)
已经有50人回复
【求助成功】supercell中DOS计算如何得到合理的电荷密度和波函数?
已经有3人回复
【求助】请教ms5.0中功函数计算问题
已经有6人回复
» 抢金币啦!回帖就可以得到:
查看全部散金贴
香港岭南大学郭瑛课题组博士招生 (2026年秋季入学)
+
1
/177
中国科学院深圳先进技术研究院——招聘博士后
+
3
/86
香港科技大学(广州)黄加强课题组智能电池方向博士招聘
+
1
/84
湘潭大学“过程强化与绿色化工”创新团队补招2026年秋入学博士生
+
2
/70
坐标浙江宁波,诚征女友
+
1
/63
结构动力学与结构健康监测方向欧盟玛丽居里全奖博士招聘
+
1
/60
湖南大学袁达飞课题组招收第二批2026年9月入学的博士研究生一名
+
1
/40
西安交通大学前沿院/机械学院招收2026级硕博研究生!
+
1
/31
中国科学技术大学环境系招生
+
1
/31
中南林业科技大学生物质绿色转化与功能材料课题组2026年博士招生
+
1
/14
北京工业大学化生学院青年教师或“青年优秀人才”招聘启事
+
1
/11
中科院深圳先进院-免疫治疗方向-招收1名博士生(26年9月入学)
+
1
/10
《中文期刊点评》这个模块,怎么不能点评期刊了呢自动跳转到主页了
+
1
/5
国家“双一流”建设高校-南京林业大学-国家级青年人才团队招聘 2026级博士研究生
+
1
/5
2026年博士申请考核+福州大学+管理科学与工程
+
1
/4
邵阳学院食品与化学工程学院硕士调剂
+
1
/3
哈工大(深圳)物理招收2026年9月入学博士生1个名额
+
1
/3
北京理工大学(珠海校区)何治宇课题组招收硕士推免生/招聘科研助理2名
+
1
/2
上海理工大学“新能源材料”专业-赵斌教授招收申请考核制博士生【能源催化方向】
+
1
/1
Advanced Science审稿周期一般要多久
+
1
/1
1楼
2012-03-31 10:58:24
已阅
回复此楼
关注TA
给TA发消息
送TA红花
TA的回帖
adwindai
铁杆木虫
(著名写手)
应助: 8
(幼儿园)
金币: 10513.7
帖子: 1832
在线: 279.2小时
虫号: 1113102
★ ★ ★
小木虫: 金币+0.5, 给个红包,谢谢回帖
crane1974: 金币+2, 谢谢!那个积分手册?可否告诉我详细信息?出版社,手册名等?
2012-04-01 15:03:02
这个积分的结果是2a*pi/(sinh(a*pi))
我是在积分手册上查到的。
积分公式如下图
[
Last edited by adwindai on 2012-4-1 at 10:20
]
赞
一下
回复此楼
2楼
2012-04-01 10:19:22
已阅
回复此楼
关注TA
给TA发消息
送TA红花
TA的回帖
adwindai
铁杆木虫
(著名写手)
应助: 8
(幼儿园)
金币: 10513.7
帖子: 1832
在线: 279.2小时
虫号: 1113102
★ ★ ★ ★ ★ ★ ★ ★ ★
小木虫: 金币+0.5, 给个红包,谢谢回帖
crane1974: 金币+8, 多谢!
2012-04-01 18:40:06
积分手册的电子版已经发到论坛上来了
http://muchong.com/bbs/viewthread.php?tid=4330853
赞
一下
回复此楼
3楼
2012-04-01 15:43:44
已阅
回复此楼
关注TA
给TA发消息
送TA红花
TA的回帖
相关版块跳转
数理科学综合
机械
物理
数学
农林
食品
地学
能源
信息科学
土木建筑
航空航天
转基因
我要订阅楼主
crane1974
的主题更新
3
1/1
返回列表
如果回帖内容含有宣传信息,请如实选中。否则帐号将被全论坛禁言
普通表情
龙
兔
虎
猫
高级回复
(可上传附件)
百度网盘
|
360云盘
|
千易网盘
|
华为网盘
在新窗口页面中打开自己喜欢的网盘网站,将文件上传后,然后将下载链接复制到帖子内容中就可以了。
信息提示
关闭
请填处理意见
关闭
确定