| ²é¿´: 1227 | »Ø¸´: 5 | |||
xiaojixiong½ð³æ (СÓÐÃûÆø)
|
[ÇóÖú]
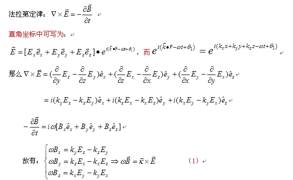
ÇóÖú£ºÔÚÖù×ø±êÏ£¬×÷ÁËÀÊϱ任ºÍ¸µÊϱ任ºóµç´Å¸ÐÓ¦¶¨Âɵıí´ïʽ£¿
|
|
ÈçÌ⣬ÎÒÓÐÒ»¸öÒÉ»óÈçÏ£¬Ïê¼û¸½¼þͼƬ£¬¾´Çë´ó¼Ò°ïÎÒ½â´ð£¬Ð¡µÜÔÚ´ËÏÈл¹ýÁË£¡ [ Last edited by »ªÀöµÄÆ®¹ý on 2012-9-22 at 22:18 ] |
» ÊÕ¼±¾ÌûµÄÌÔÌûר¼ÍƼö
fluent·ÂÕæÎÊÌâ¡£ |
» ²ÂÄãϲ»¶
²ÄÁÏ¿ÆÑ§Ó빤³Ì320Çóµ÷¼Á£¬080500
ÒѾÓÐ9È˻ظ´
0703»¯Ñ§µ÷¼Á 348·Ö
ÒѾÓÐ10È˻ظ´
307Çóµ÷¼Á
ÒѾÓÐ12È˻ظ´
Çóµ÷¼Á
ÒѾÓÐ13È˻ظ´
Ò»Ö¾Ô¸211£¬0703»¯Ñ§305·ÖÇóµ÷¼Á
ÒѾÓÐ15È˻ظ´
284Çóµ÷¼Á
ÒѾÓÐ14È˻ظ´
²ÄÁϹ¤³Ìµ÷¼Á
ÒѾÓÐ5È˻ظ´
287Çóµ÷¼Á
ÒѾÓÐ12È˻ظ´
362Çóµ÷¼Á
ÒѾÓÐ12È˻ظ´
273Çóµ÷¼Á
ÒѾÓÐ42È˻ظ´
» ±¾Ö÷ÌâÏà¹Ø¼ÛÖµÌùÍÆ¼ö£¬¶ÔÄúͬÑùÓаïÖú:
¸µ¿Ë·´Ó¦µÄºó´¦Àí
ÒѾÓÐ18È˻ظ´
Ò»¸ö¹ØÓÚ¸µÀïÒ¶±ä»»µÄÎÊÌâ¡£
ÒѾÓÐ6È˻ظ´
¸÷λ´óÏÀÀ´½»Á÷ϸµ¿ËÍé»ù»¯·´Ó¦°É
ÒѾÓÐ15È˻ظ´
ÎïÀí»¯Ñ§ µÚÎå°æ ¸µÏײÊÖ÷±à ¿ÎºóϰÌâ´ð°¸ µÚʮһÕÂ
ÒѾÓÐ13È˻ظ´
¸µÀïÒ¶±ä»»ºìÍâ¹âÆ×·¨²Ù×÷µÄ³£¼ûÎÊÌâ¼°×¢ÒâÊÂÏî
ÒѾÓÐ39È˻ظ´
¡¾ÇóÖú¡¿¸µ¿Ë·´Ó¦ÈýÂÈ»¯ÂÁÂçºÏÎÊÌâ
ÒѾÓÐ14È˻ظ´
¡¾ÌÖÂÛ¡¿¸µ¿Ëõ£»¯·´Ó¦ÐèÒª¼ÓÈÈÂð£¿
ÒѾÓÐ40È˻ظ´
¡¾ÇóÖú¡¿¸µ¿ËÍé»ù»¯·´Ó¦
ÒѾÓÐ25È˻ظ´
×¢²á»¯¹¤¹¤³Ìʦ
ÒѾÓÐ10È˻ظ´
¡¾ÇóÖú¡¿·Ö×ÓÄڵĸµ--¿ËÍé»ù»¯·´Ó¦Ìõ¼þ
ÒѾÓÐ7È˻ظ´
¡¾ÇóÖú¡¿ÇóÖú³¤ÖùÖÐ¼ä´ø¿×ÌմɳÉÐÍ£¬ÓоÑéµÄû¾ÑéµÄ¸ßÊÖʦ¸µÍ¬Ðж¼½øÀ´Ö¸µ¼ÏÂ
ÒѾÓÐ10È˻ظ´
syliu
гæ (³õÈëÎÄ̳)
- Ó¦Öú: 5 (Ó×¶ùÔ°)
- ½ð±Ò: 42.6
- Ìû×Ó: 28
- ÔÚÏß: 7.8Сʱ
- ³æºÅ: 1650324
- ×¢²á: 2012-02-28
- רҵ: Äý¾Û̬ÎïÐÔ II £ºµç×ӽṹ
¡¾´ð°¸¡¿Ó¦Öú»ØÌû
¡ï ¡ï ¡ï
¸Ðл²ÎÓ룬ӦÖúÖ¸Êý +1
xiaojixiong(½ð±Ò+3): ¡ïÓаïÖú Óеã°ïÖú¡£ 2012-03-03 16:51:17
¸Ðл²ÎÓ룬ӦÖúÖ¸Êý +1
xiaojixiong(½ð±Ò+3): ¡ïÓаïÖú Óеã°ïÖú¡£ 2012-03-03 16:51:17
|
´íÎóÔÚÓÚ¹«Ê½£¨4£©ÖÐkÓërµÄµã³ËдµÃ²»¶Ô£¬Èç¹û¶¨Òåk_rÊÇkÑØr·½ÏòµÄ·ÖÁ¿,k_thetaÊÇkÑØr´¹Ö±·½ÏòµÄ·ÖÁ¿£¬ÄÇôrÑØr´¹Ö±·½Ïò·ÖÁ¿¾ÍÓ¦¸ÃÊÇÁ㣻ËùÒÔ£¬kÓërµÄµã³Ë¾ÍÓ¦¸ÃÊÇk_r*r+k_z*z¡£µ«k_rµÈÓÚk_{x-yÆ½Ãæ·ÖÁ¿}*cos(theta-theta_0) theta_0ÊDz¨Ê¸kÔÚx-yÆ½Ãæ·ÖÁ¿ÓëxÖáµÄ¼Ð½Ç£¬¸ø¶¨µÄÁ¿¡£ ÔÚÇóµç³¡Ðý¶ÈʱҪ¿¼ÂÇk_rÊÇÓëthetaÓйصĺ¯ÊýÓ´ ![]() ÕâÀï "_"±íʾϱê |
2Â¥2012-03-02 14:19:16
xiaojixiong
½ð³æ (СÓÐÃûÆø)
- Ó¦Öú: 0 (Ó×¶ùÔ°)
- ½ð±Ò: 3482.5
- É¢½ð: 3
- Ìû×Ó: 239
- ÔÚÏß: 67.6Сʱ
- ³æºÅ: 425899
- ×¢²á: 2007-07-28
- ÐÔ±ð: GG
- רҵ: µÈÀë×ÓÌåÎïÀí
3Â¥2012-03-03 16:50:32
xiaojixiong
½ð³æ (СÓÐÃûÆø)
- Ó¦Öú: 0 (Ó×¶ùÔ°)
- ½ð±Ò: 3482.5
- É¢½ð: 3
- Ìû×Ó: 239
- ÔÚÏß: 67.6Сʱ
- ³æºÅ: 425899
- ×¢²á: 2007-07-28
- ÐÔ±ð: GG
- רҵ: µÈÀë×ÓÌåÎïÀí
4Â¥2012-03-03 16:52:54
syliu
гæ (³õÈëÎÄ̳)
- Ó¦Öú: 5 (Ó×¶ùÔ°)
- ½ð±Ò: 42.6
- Ìû×Ó: 28
- ÔÚÏß: 7.8Сʱ
- ³æºÅ: 1650324
- ×¢²á: 2012-02-28
- רҵ: Äý¾Û̬ÎïÐÔ II £ºµç×ӽṹ
¡¾´ð°¸¡¿Ó¦Öú»ØÌû
ϦÑôÎ÷ÏÂ: ¼ÈÈ»ÊÇk_rµã³Ër,ÎÞÐëд³Ék_r*r*cos(theta-theta_0)]£¬Ö±½Óдk_r*r¼´¿É¡£ÒòΪaµã³ËbµÈÓÚ=aµÄÄ£³ËÒÔbµÄÄ£ÔÙ³ËÒÔËûÃǵļнǡ£ 2012-03-04 18:45:56
|
µã³ËÓ¦¸ÃµÈÓÚk_r*r_r+k_theta*r_theta+k_z*z k_theta²»µÈÓÚÁã¡£rʸÁ¿µÄtheta·ÖÁ¿µÈÓÚÁã k_rµÈÓÚk_{x-yÆ½Ãæ·ÖÁ¿}*cos(theta-theta_0)Êǽ«k·Ö½âµ½r·½Ïò£¬²¨Ê¸kÔÚx-yÆ½ÃæµÄ·ÖÁ¿ÓëxÖá¼Ð½ÇΪtheta_0£¬¶ørÓëxÖá¼Ð½ÇΪtheta£¬ËùÒÔ²¨Ê¸kÔÚx-yÆ½ÃæµÄ·ÖÁ¿ÓërµÄ¼Ð½ÇΪtheta-theta_0 ÇóÐýÁ¿Ê±ÓÃÄ㹫ʽ£¨4£©ÏÂÃæµÄµÚÒ»¸ö±í´ïʽ£¬Ö»ÊÇÕâʱµÄE_r¡¢E_theta¡¢E_zÒª³ËÉÏ*exp[i*k_r*r*cos(theta-theta_0)] ÀýÈ磺E_rÓÃE_r*exp[i*k_r*r*cos(theta-theta_0)] ÎÒ¹À¼ÆEµÄÐýÁ¿ÊÇi*ʸÁ¿kÓëʸÁ¿EµÄ²æ³Ë£¬¿ÉÒÔÓÃÐÐÁÐʽд³öÀ´¾ÍÊÇ | e_r e_theta e_z | | k_r k_theta k_z | |E_r E_theta E_z| ³ËÒÔÐéÊýµ¥Î»i e_r£¬e_theta£¬e_zÊǵ¥Î»Ê¸Á¿ ÕâÀï k_r=k_(x-yÆ½Ãæ·ÖÁ¿£©*cos(theta-theta_0) k_theta=-k_(x-yÆ½Ãæ·ÖÁ¿£©*sin(theta-theta_0) |
5Â¥2012-03-03 17:45:29
syliu
гæ (³õÈëÎÄ̳)
- Ó¦Öú: 5 (Ó×¶ùÔ°)
- ½ð±Ò: 42.6
- Ìû×Ó: 28
- ÔÚÏß: 7.8Сʱ
- ³æºÅ: 1650324
- ×¢²á: 2012-02-28
- רҵ: Äý¾Û̬ÎïÐÔ II £ºµç×ӽṹ
6Â¥2012-03-06 13:23:25














»Ø¸´´ËÂ¥
