°æ¿éµ¼º½
ÕýÔÚ¼ÓÔØÖÐ...
¿Í»§¶ËAPPÏÂÔØ
ÂÛÎĸ¨µ¼
É격¸¨µ¼
怬
×¢²á
Ìû×Ó
Ìû×Ó
Óû§
±¾°æ
Ó¦¡¶ÍøÂ簲ȫ·¨¡·ÒªÇó£¬×Ô2017Äê10ÔÂ1ÈÕÆð£¬Î´½øÐÐʵÃûÈÏÖ¤½«²»µÃʹÓû¥ÁªÍø¸úÌû·þÎñ¡£Îª±£ÕÏÄúµÄÕʺÅÄܹ»Õý³£Ê¹Óã¬Ç뾡¿ì¶ÔÕʺŽøÐÐÊÖ»úºÅÑéÖ¤£¬¸ÐлÄúµÄÀí½âÓëÖ§³Ö£¡
24СʱÈÈÃŰæ¿éÅÅÐаñ
>
ÂÛ̳¸üÐÂÈÕÖ¾
(2341)
>
³æÓÑ»¥Ê¶
(199)
>
ÎÄÏ×ÇóÖú
(67)
>
ÂÛÎĵÀºØÆí¸£
(66)
>
µ¼Ê¦ÕÐÉú
(51)
>
¿¼²©
(41)
>
˶²©¼ÒÔ°
(35)
>
²©ºóÖ®¼Ò
(26)
>
»ù½ðÉêÇë
(25)
>
¿¼ÑÐ
(22)
>
½Ìʦ֮¼Ò
(20)
>
¹«Åɳö¹ú
(17)
>
ÂÛÎÄͶ¸å
(17)
>
ÐÝÏйàË®
(17)
>
ÕÐÆ¸ÐÅÏ¢²¼¸æÀ¸
(11)
>
ÂÌÉ«ÇóÖú(¸ßÐüÉÍ)
(11)
Сľ³æÂÛ̳-ѧÊõ¿ÆÑл¥¶¯Æ½Ì¨
»
¼ÆËãÄ£ÄâÇø
»
Á¿×Ó»¯Ñ§
»
Gaussian
»
ÒÒÑõ»ùÈý¼×»ù¹èÍéµÄ·Ö×Ó¶¯Á¦Ñ§Ö±¾¶ÊǶàÉÙ
3
1/1
·µ»ØÁбí
²é¿´: 480 | »Ø¸´: 2
Ö»¿´Â¥Ö÷
@ËûÈË
´æµµ
лظ´ÌáÐÑ
(ºöÂÔ)
ÊÕ²Ø
ÔÚAPPÖв鿴
wzj0523017
ͳæ
(³õÈëÎÄ̳)
Ó¦Öú: 0
(Ó×¶ùÔ°)
½ð±Ò: 1091.9
Ìû×Ó: 19
ÔÚÏß: 56.1Сʱ
³æºÅ: 858820
×¢²á: 2009-09-28
רҵ: »·¾³»¯¹¤
[
ÇóÖú
]
ÒÒÑõ»ùÈý¼×»ù¹èÍéµÄ·Ö×Ó¶¯Á¦Ñ§Ö±¾¶ÊǶàÉÙ
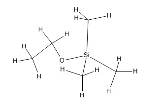
ÈçÌ⣬ÒÒÑõ»ùÈý¼×»ù¹èÍéµÄ·Ö×Ó¶¯Á¦Ñ§Ö±¾¶ÊǶàÉÙ£¿½á¹¹Ê½¼û¸½¼þ
»Ø¸´´ËÂ¥
» ±¾ÌûÒÑ»ñµÃµÄºì»¨£¨×îÐÂ10¶ä£©
wzj0523017
» ²ÂÄãϲ»¶
ÖйúË®²ú¿ÆÑ§Ñо¿Ôº»Æº£Ë®²úÑо¿Ëù²©Ê¿ºó¿ÆÑй¤×÷Õ¾2026Ä격ʿºóÕÐÊÕ¹«¸æ
ÒѾÓÐ0È˻ظ´
´óÁ¬º£Ê´óѧ¹ú¼Ò¼¶È˲ÅÍŶÓ2026Ä격ʿÑо¿ÉúÕÐÉúÆôÊ£¨ÇâÄÜ£©
ÒѾÓÐ10È˻ظ´
ÎïÀí»¯Ñ§ÂÛÎÄÈóÉ«/·ÒëÔõôÊÕ·Ñ?
ÒѾÓÐ277È˻ظ´
¹ú¼Ò¼¶È˲ſÎÌâ×éÕÐÊÕ2026ÄêÈëѧ²©Ê¿
ÒѾÓÐ6È˻ظ´
Òâ´óÀûÃ×À¼Àí¹¤´óѧ¼±Æ¸CSC¹«ÅÉÁôѧ²©Ê¿Éú£¨ÎïÀí»òÎÞ»ú²ÄÁÏ¿ÆÑ§·½Ïò£©
ÒѾÓÐ47È˻ظ´
Çó¼ÓÇâ´¦Àí¹¤ÒÕÓ빤³Ì£¨µÚ¶þ°æ£©pdf Àî´ó¶« Öйúʯ»¯³ö°æÉç 9787511436689
ÒѾÓÐ0È˻ظ´
ÐÂ¼ÓÆÂASTARÕÐÊÕCSC»òѧУ×ÊÖúÁªÅ಩ʿÉú/·ÃÎÊѧÉú
ÒѾÓÐ2È˻ظ´
ÇóÖúAmsterdam Density Functional
ÒѾÓÐ3È˻ظ´
Î人·ÄÖ¯´óѧȫ¹úÖØµãʵÑéÊÒ³ÂáɽÌÊÚÍŶÓÕÐÊÕ2026¼¶Ñ§Êõ/רҵÐÍ˶ʿÑо¿Éú
ÒѾÓÐ0È˻ظ´
¹ú¼Ò¼¶È˲ſÎÌâ×éÕÐÊÕ2026ÄêÈëѧ²©Ê¿
ÒѾÓÐ1È˻ظ´
» ±¾Ö÷ÌâÏà¹ØÉ̼ÒÍÆ¼ö:
(ÎÒÒ²ÒªÔÚÕâÀïÍÆ¹ã)
» ±¾Ö÷ÌâÏà¹Ø¼ÛÖµÌùÍÆ¼ö£¬¶ÔÄúͬÑùÓаïÖú:
Óйص°°×ÖÊÐźÅתµ¼µÄ¼¸¸öflash!
ÒѾÓÐ74È˻ظ´
ÇóÖúÒ»¸ö¹ØÓÚÄð¾Æ½Íĸת»¯µÄÎÊÌâ
ÒѾÓÐ19È˻ظ´
ÐÂÊÖÇóÖú£ººãÎÂˮԡ¹øÖеÄˮΪʲôҪÊÇÕôÁóË®?
ÒѾÓÐ4È˻ظ´
Çë½ÌRNAÌáÈ¡¸ßÊÖ£º·´×ªÂ¼PCR£¨RT-PCR)ÖÐDNAµÄÈ¥³ý
ÒѾÓÐ18È˻ظ´
µ°°×Öʺܴ¿£¬µ«²»³¤¾§Ìå
ÒѾÓÐ10È˻ظ´
¹ØÓÚÓÃÈý¼×»ùµâ¹èÍé»òÈýä廯ÅðÍÑ·¼Ïã¼×»ùÃÑÉϼ׻ùµÄÎÊÌâ
ÒѾÓÐ10È˻ظ´
¡¾ÇóÖú¡¿Çó¸ßÈËÖ¸½Ì£ºÒÒÏ©»ùÈýÒÒÑõ»ù¹èÑõÍ飨A-151£©¸ÄÐÔ±ûÏ©ËáÈéÒººóÔõôʵÏÖÔÚÊÒν
ÒѾÓÐ5È˻ظ´
¡¾ÇóÖú¡¿ÔõôÈÃÁù¼×»ù»·Èý¹èÑõÍéÔÚµÍÎÂϲ»½á¾§
ÒѾÓÐ4È˻ظ´
¡¾ÌÖÂÛ¡¿àßø¡¢Èý¼×»ùµâ¹èÍéÍѼ׻ù»úÀíÌÖÂÛÇóÖú
ÒѾÓÐ10È˻ظ´
¡¾Çë½Ì¡¿ÓùýżÁª¼ÁAPTMS£¨3-°±±û»ùÈý¼×Ñõ»ù¹èÑõÍ飩Çë°ïæÏÂ
ÒѾÓÐ11È˻ظ´
1Â¥
2012-02-23 13:15:22
ÒÑÔÄ
»Ø¸´´ËÂ¥
¹Ø×¢TA
¸øTA·¢ÏûÏ¢
ËÍTAºì»¨
TAµÄ»ØÌû
linzhongaiguo
ͳæ
(ÕýʽдÊÖ)
Ó¦Öú: 35
(СѧÉú)
½ð±Ò: 38.1
É¢½ð: 11
ºì»¨: 2
Ìû×Ó: 971
ÔÚÏß: 872.5Сʱ
³æºÅ: 229087
×¢²á: 2006-03-25
ÐÔ±ð: GG
רҵ: ÀíÂۺͼÆË㻯ѧ
¡¾´ð°¸¡¿Ó¦Öú»ØÌû
¸Ðл²ÎÓ룬ӦÖúÖ¸Êý +1
½«½á¹¹Ê½Óà .mol¸ñʽ»³öÀ´£¬ÎÒ°ïÖúÄã¼ÆËãһϼ´¿É¡£
ÔÞ
Ò»ÏÂ
»Ø¸´´ËÂ¥
DFT
2Â¥
2012-02-24 08:50:02
ÒÑÔÄ
»Ø¸´´ËÂ¥
¹Ø×¢TA
¸øTA·¢ÏûÏ¢
ËÍTAºì»¨
TAµÄ»ØÌû
wzj0523017
ͳæ
(³õÈëÎÄ̳)
Ó¦Öú: 0
(Ó×¶ùÔ°)
½ð±Ò: 1091.9
Ìû×Ó: 19
ÔÚÏß: 56.1Сʱ
³æºÅ: 858820
×¢²á: 2009-09-28
רҵ: »·¾³»¯¹¤
ËÍÏÊ»¨Ò»¶ä
²»ºÃÒâ˼£¬Ã»Ìý˵¹ý.molģʽ£¬Õâ¸ö¹èÍéÆäʵ¾ÍÊÇÒ»¸öSi Ô×ÓËĸö¼ü·Ö±ðÁ¬×Å£ºCH3£¬CH3£¬CH3£¬OC2H5£¬ÎÒ²»¶®Ä£Ä⣬ÎÄÏ×ÖÐÒ»Ö±²é²»µ½£¬ËùÒÔÈç¹û¿ÉÒÔ£¬°ÝÍаïÎÒËãÏ£¬ÏÈллÁË£¡
ÔÞ
Ò»ÏÂ
»Ø¸´´ËÂ¥
3Â¥
2012-02-25 20:36:29
ÒÑÔÄ
»Ø¸´´ËÂ¥
¹Ø×¢TA
¸øTA·¢ÏûÏ¢
ËÍTAºì»¨
TAµÄ»ØÌû
Ïà¹Ø°æ¿éÌø×ª
µÚÒ»ÐÔÔÀí
Á¿×Ó»¯Ñ§
¼ÆËãÄ£Äâ
·Ö×ÓÄ£Äâ
·ÂտģÄâ
³ÌÐòÓïÑÔ
ÎÒÒª¶©ÔÄÂ¥Ö÷
wzj0523017
µÄÖ÷Ìâ¸üÐÂ
3
1/1
·µ»ØÁбí
Èç¹û»ØÌûÄÚÈݺ¬ÓÐÐû´«ÐÅÏ¢£¬ÇëÈçʵѡÖС£·ñÔòÕʺŽ«±»È«ÂÛ̳½ûÑÔ
ÆÕͨ±íÇé
Áú
ÍÃ
Ȣ
è
°Ù¶ÈÍøÅÌ
|
360ÔÆÅÌ
|
ǧÒ×ÍøÅÌ
|
»ªÎªÍøÅÌ
ÔÚд°¿ÚÒ³ÃæÖдò¿ª×Ô¼ºÏ²»¶µÄÍøÅÌÍøÕ¾£¬½«ÎļþÉÏ´«ºó£¬È»ºó½«ÏÂÔØÁ´½Ó¸´ÖƵ½Ìû×ÓÄÚÈÝÖоͿÉÒÔÁË¡£
ÐÅÏ¢Ìáʾ
¹Ø±Õ
ÇëÌî´¦ÀíÒâ¼û
¹Ø±Õ
È·¶¨