| 查看: 465 | 回复: 1 | ||
clair008木虫 (正式写手)
|
[求助]
求助二维偏微分方程拟合。急!!!!
|
|
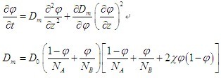
已知 浓度φ是时间t和位移z的函数。现在已知t=t0时刻φ对z的数据。如何根据下图的公式拟合曲线求参数D0. 其中NA,NB,χ等都是常数。小弟刚学Matlab有很多不懂的地方。求高手帮忙赐教下如何编写代码求D0。谢谢!!! 扩散定律 边界和初始条件 [ Last edited by clair008 on 2012-2-21 at 21:51 ] |
» 猜你喜欢
售SCI一区文章,我:8 O5 51O 54,科目齐全,可+急
已经有4人回复
售SCI一区文章,我:8 O5 51O 54,科目齐全,可+急
已经有3人回复
售SCI一区文章,我:8 O5 51O 54,科目齐全,可+急
已经有3人回复
售SCI一区文章,我:8 O5 51O 54,科目齐全,可+急
已经有3人回复
售SCI一区文章,我:8 O5 51O 54,科目齐全,可+急
已经有3人回复
售SCI一区文章,我:8 O5 51O 54,科目齐全,可+急
已经有3人回复
基金正文30页指的是报告正文还是整个申请书
已经有4人回复
今年春晚有几个节目很不错,点赞!
已经有6人回复
球磨粉体时遇到了大的问题,请指教!
已经有15人回复
过年走亲戚时感受到了所开私家车的鄙视链
已经有5人回复
» 本主题相关价值贴推荐,对您同样有帮助:
求助粉晶拟合,欢迎各位高手!
已经有19人回复
【求助】阻抗拟合中CPE与W的单位,意义。急!!!
已经有16人回复
【求助】多元方程组求解及拟合
已经有9人回复
【求助】拟合晶格常数
已经有14人回复
【求助】学好偏微分方程的基础
已经有30人回复
求助Origin8.0拟合方程
已经有6人回复
【求助】偏微分方程的基本解
已经有5人回复
【求助】偏微分方程解法
已经有19人回复
clair008
木虫 (正式写手)
- 应助: 0 (幼儿园)
- 金币: 1963.5
- 散金: 906
- 红花: 1
- 帖子: 445
- 在线: 444小时
- 虫号: 684464
- 注册: 2008-12-30
- 性别: GG
- 专业: 高分子物理与高分子物理化
2楼2012-02-22 16:17:59













回复此楼
请求高手们给编个程序吧!!!!