| ²é¿´: 2155 | »Ø¸´: 16 | ||||
| ±¾Ìû²úÉú 1 ¸ö ÎïÀíEPI £¬µã»÷ÕâÀï½øÐв鿴 | ||||
ϦÑôÎ÷ÏÂ½ð³æ (ÖøÃûдÊÖ)
|
[½»Á÷]
Á¿×ÓÁ¦Ñ§ÌâµÄÒ»¸ö¼ÆËã¹ý³Ì ÒÑÓÐ5È˲ÎÓë
|
|||
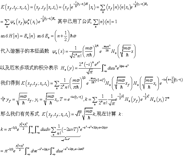
| Çëд³öÈçÌâµÄÍÆµ¼¹ý³Ì |
» ±¾Ìû¸½¼þ×ÊÔ´Áбí
-
»¶Ó¼à¶½ºÍ·´À¡£ºÐ¡Ä¾³æ½öÌṩ½»Á÷ƽ̨£¬²»¶Ô¸ÃÄÚÈݸºÔð¡£
±¾ÄÚÈÝÓÉÓû§×ÔÖ÷·¢²¼£¬Èç¹ûÆäÄÚÈÝÉæ¼°µ½ÖªÊ¶²úȨÎÊÌ⣬ÆäÔðÈÎÔÚÓÚÓû§±¾ÈË£¬Èç¶Ô°æÈ¨ÓÐÒìÒ飬ÇëÁªÏµÓÊÏ䣺xiaomuchong@tal.com - ¸½¼þ 1 : δÃüÃû1.bmp
2012-01-23 15:31:00, 762.24 K
» ÊÕ¼±¾ÌûµÄÌÔÌûר¼ÍƼö
Çཷ²»À± À±½·²»Çà |
» ²ÂÄãϲ»¶
» ±¾Ö÷ÌâÏà¹Ø¼ÛÖµÌùÍÆ¼ö£¬¶ÔÄúͬÑùÓаïÖú:
½ô¼±ÇóÖú£ºÁ¿×ÓÁ¦Ñ§¸ÅÂʼÆË㣨5¸ö½ð±Ò£©
ÒѾÓÐ26È˻ظ´
¡¶Á¿×ÓÁ¦Ñ§¡·²¨º¯Êý¶¯Á¿ºÍʸÁ¿µÄ¸µÀïÒ¶±ä»»
ÒѾÓÐ3È˻ظ´
¡¾ÇóÖú¡¿Îʼ¸¸ö¹ØÓÚÁ¿×ÓÁ¦Ñ§µÄ»ù±¾ÎÊÌâ
ÒѾÓÐ11È˻ظ´
¡¾»î¶¯¡¿¸÷ÖÖÁ¿×ÓÁ¦Ñ§¼ÆËãÈí¼þʹÓþÑé̸£¨»Ø¸´¾ÍÓн±Àø£¬½²ÊöÏêϸµÄ½±Àø5-10½ð±Ò£©
ÒѾÓÐ30È˻ظ´
cosmology
½ð³æ (ÕýʽдÊÖ)
- ÎïÀíEPI: 10
- Ó¦Öú: 15 (СѧÉú)
- ½ð±Ò: 1411.3
- ºì»¨: 1
- Ìû×Ó: 418
- ÔÚÏß: 48.6Сʱ
- ³æºÅ: 230145
- ×¢²á: 2006-03-26
- ÐÔ±ð: GG
- רҵ: »ù´¡ÎïÀíѧ
¡ï ¡ï ¡ï ¡ï ¡ï ¡ï
Сľ³æ(½ð±Ò+0.5):¸ø¸öºì°ü£¬Ð»Ð»»ØÌû
nono2009(½ð±Ò+5): ¹ÄÀø½»Á÷£¬EPIÊÇ·ñ·¢·ÅµÈ°æÖ÷Éó¶¨ 2012-01-26 09:49:57
ϦÑôÎ÷ÏÂ(ÎïÀíEPI+1): ¹À¼Æ½»Á÷¡£ 2012-01-26 11:41:33
Сľ³æ(½ð±Ò+0.5):¸ø¸öºì°ü£¬Ð»Ð»»ØÌû
nono2009(½ð±Ò+5): ¹ÄÀø½»Á÷£¬EPIÊÇ·ñ·¢·ÅµÈ°æÖ÷Éó¶¨ 2012-01-26 09:49:57
ϦÑôÎ÷ÏÂ(ÎïÀíEPI+1): ¹À¼Æ½»Á÷¡£ 2012-01-26 11:41:33
8Â¥2012-01-25 18:24:18
qhcmp
ͳæ (СÓÐÃûÆø)
- Ó¦Öú: 1 (Ó×¶ùÔ°)
- ½ð±Ò: 538.9
- É¢½ð: 193
- ºì»¨: 5
- Ìû×Ó: 88
- ÔÚÏß: 16.6Сʱ
- ³æºÅ: 1583972
- ×¢²á: 2012-01-20
- ÐÔ±ð: GG
- רҵ: Äý¾Û̬ÎïÐÔ II £ºµç×ӽṹ
¡ï ¡ï
Сľ³æ(½ð±Ò+0.5):¸ø¸öºì°ü£¬Ð»Ð»»ØÌû
nono2009(½ð±Ò+1): ÐÂÄê¿ìÀÖ 2012-01-23 20:52:48
Сľ³æ(½ð±Ò+0.5):¸ø¸öºì°ü£¬Ð»Ð»»ØÌû
nono2009(½ð±Ò+1): ÐÂÄê¿ìÀÖ 2012-01-23 20:52:48
| ²»´íµÄÎÊÌ⣬´ýÎÒÑÝËãÒ»±é¡£ |
2Â¥2012-01-23 15:58:03
opanane
ľ³æ (СÓÐÃûÆø)
- Ó¦Öú: 13 (СѧÉú)
- ½ð±Ò: 2946.7
- É¢½ð: 20
- ºì»¨: 6
- Ìû×Ó: 129
- ÔÚÏß: 263.5Сʱ
- ³æºÅ: 1292941
- ×¢²á: 2011-05-11
- רҵ: Á£×ÓÎïÀíѧºÍ³¡ÂÛ
¡ï ¡ï
Сľ³æ(½ð±Ò+0.5):¸ø¸öºì°ü£¬Ð»Ð»»ØÌû
nono2009(½ð±Ò+1): ÐÂÄê¿ìÀÖ 2012-01-23 20:52:54
Сľ³æ(½ð±Ò+0.5):¸ø¸öºì°ü£¬Ð»Ð»»ØÌû
nono2009(½ð±Ò+1): ÐÂÄê¿ìÀÖ 2012-01-23 20:52:54
| ËäÈ»ºÜ¶àÊéÉ϶¼ÓУ¬×ܸоõÊýѧÉϲ»ÊǺÜÑϸñ¡¡ |
3Â¥2012-01-23 20:42:27
ϦÑôÎ÷ÏÂ
½ð³æ (ÖøÃûдÊÖ)
- ÎïÀíEPI: 2
- Ó¦Öú: 138 (¸ßÖÐÉú)
- ¹ó±ö: 0.041
- ½ð±Ò: 9247.1
- É¢½ð: 73
- ºì»¨: 28
- ɳ·¢: 1
- Ìû×Ó: 1268
- ÔÚÏß: 1164.4Сʱ
- ³æºÅ: 220750
- ×¢²á: 2006-03-20
- רҵ: Äý¾Û̬ÎïÐÔ II £ºµç×ӽṹ
- ¹ÜϽ: ÎïÀí
4Â¥2012-01-23 22:17:01
opanane
ľ³æ (СÓÐÃûÆø)
- Ó¦Öú: 13 (СѧÉú)
- ½ð±Ò: 2946.7
- É¢½ð: 20
- ºì»¨: 6
- Ìû×Ó: 129
- ÔÚÏß: 263.5Сʱ
- ³æºÅ: 1292941
- ×¢²á: 2011-05-11
- רҵ: Á£×ÓÎïÀíѧºÍ³¡ÂÛ
¡ï ¡ï ¡ï ¡ï ¡ï ¡ï
Сľ³æ(½ð±Ò+0.5):¸ø¸öºì°ü£¬Ð»Ð»»ØÌû
ϦÑôÎ÷ÏÂ(½ð±Ò+5): ¹ÄÀø½»Á÷¡£ 2012-01-24 16:10:57
Сľ³æ(½ð±Ò+0.5):¸ø¸öºì°ü£¬Ð»Ð»»ØÌû
ϦÑôÎ÷ÏÂ(½ð±Ò+5): ¹ÄÀø½»Á÷¡£ 2012-01-24 16:10:57
|
¸ßÁ¿£¨ÁõÏ£Ã÷£© https://ishare.iask.sina.com.cn/f/17260815.html ¸ßÁ¿£¨ÓàÊÙ½õ£© https://ishare.iask.sina.com.cn/f/20680265.html »¹ÓÐÒ»±¾Ð´µÄ¸üÇåÎúµÄ£¬µ«ÊÇÕÒ²»µ½ÁË¡£ÕÒµ½ÁËÔÙ²¹ÉÏ¡£ ¶þ´ÎÐ͵ͼ¿ÉÒÔ±ÊËã³öÀ´£¬¸÷ÊéµÄÖ¤Ã÷¼¸ºõһģһÑù¡£ |
5Â¥2012-01-24 12:38:40
cosmology
½ð³æ (ÕýʽдÊÖ)
- ÎïÀíEPI: 10
- Ó¦Öú: 15 (СѧÉú)
- ½ð±Ò: 1411.3
- ºì»¨: 1
- Ìû×Ó: 418
- ÔÚÏß: 48.6Сʱ
- ³æºÅ: 230145
- ×¢²á: 2006-03-26
- ÐÔ±ð: GG
- רҵ: »ù´¡ÎïÀíѧ
6Â¥2012-01-24 16:17:49
ÄäÃû
Óû§×¢Ïú (ÖªÃû×÷¼Ò)
- Ó¦Öú: 1032 (²©ºó)
- ¹ó±ö: 0.5
- ½ð±Ò: 11648
- É¢½ð: 12588
- ºì»¨: 590
- Ìû×Ó: 7758
- ÔÚÏß: 9259.3Сʱ
- ³æºÅ: 0
- ×¢²á: 2010-03-13
- ÐÔ±ð: GG
- רҵ: Ó¦ÓÃÊýѧ·½·¨
7Â¥2012-01-24 21:35:28
cosmology
½ð³æ (ÕýʽдÊÖ)
- ÎïÀíEPI: 10
- Ó¦Öú: 15 (СѧÉú)
- ½ð±Ò: 1411.3
- ºì»¨: 1
- Ìû×Ó: 418
- ÔÚÏß: 48.6Сʱ
- ³æºÅ: 230145
- ×¢²á: 2006-03-26
- ÐÔ±ð: GG
- רҵ: »ù´¡ÎïÀíѧ
9Â¥2012-01-25 18:25:40
cosmology
½ð³æ (ÕýʽдÊÖ)
- ÎïÀíEPI: 10
- Ó¦Öú: 15 (СѧÉú)
- ½ð±Ò: 1411.3
- ºì»¨: 1
- Ìû×Ó: 418
- ÔÚÏß: 48.6Сʱ
- ³æºÅ: 230145
- ×¢²á: 2006-03-26
- ÐÔ±ð: GG
- רҵ: »ù´¡ÎïÀíѧ
¡ï
Сľ³æ(½ð±Ò+0.5):¸ø¸öºì°ü£¬Ð»Ð»»ØÌû
Сľ³æ(½ð±Ò+0.5):¸ø¸öºì°ü£¬Ð»Ð»»ØÌû
|
»¹ÓÐÒ»ÖÖÏÖ´ú½â·¨---·¾¶»ý·Ö·¨ ÔËÓÃ±È½ÏÆÕ±é ¿ÉÒÔ½â¸÷ÖÖ´«²¥×Ó |
10Â¥2012-01-26 07:39:53














»Ø¸´´ËÂ¥
