| ²é¿´: 1019 | »Ø¸´: 1 | |
ÔÆ¸è¾èÖú¹ó±ö (СÓÐÃûÆø)
|
[ÇóÖú]
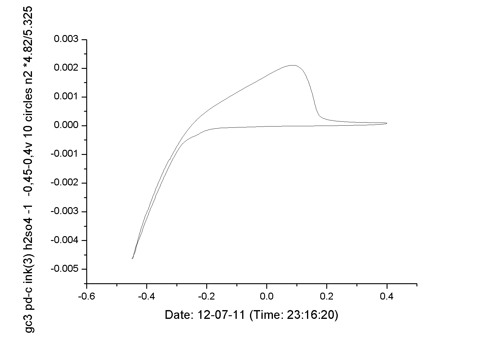
¼±Çó¹ØÓÚ¶à¿×²ÄÁϱíÃæ»ýÖ®¼äµÄ±È½Ï£ºN2ÎüÍѸ½·¨£¬µç»¯Ñ§»îÐÔ±íÃæ»ý£¬µçÈݱíÃæ»ý
|
|
|
|
СľÐĵÄгæ (СÓÐÃûÆø)
|
|
|
2Â¥2018-09-16 21:58:24
|
|













»Ø¸´´ËÂ¥
50