24小时热门版块排行榜    

北京石油化工学院2026年研究生招生接收调剂公告
查看: 269  |  回复: 2

wfwsgv

铁杆木虫 (正式写手)

[求助] 求解化合物,用微谱确定一下结构

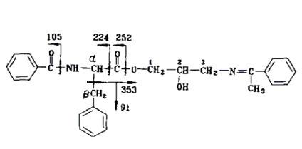
有微谱数据的大侠可以输入以下数据 查一下
  c谱数据如下    138.9  132.8  130.4  130.3  129.5  129.5  128.5 127.8  127.5  66.2  56.6  51.2  39.0  38.1  20.7
麻烦用模糊查询相似度高的化合物,谢谢各位啊
回复此楼

» 本帖已获得的红花(最新10朵)

» 猜你喜欢

» 本主题相关价值贴推荐,对您同样有帮助:

已阅   回复此楼   关注TA 给TA发消息 送TA红花 TA的回帖

jackey5460

荣誉版主 (知名作家)

吉祥二宝


karl2100(金币+1): 谢谢! 2012-01-07 10:58:13
查询模式:模糊查询  
碳谱数据输入:
按从小到大顺序输入,数字间用英文半角逗号(,)分隔例如:
21.4,30.4,37.4,73.2,73.7,125.6,126.6,139.6,140.2,168.2
20.7,38.1,39.0,51.2,56.6,66.2,127.5,127.8,128.5,129.5,129.5,130.3,130.4,132.8,138.9  
溶剂选项: 全部 CDCl3 CD3CD2OD CD2Cl2 C5D5N C3D7NO CD3SOCD3 C4D8O (CH3)4Si C4D8O2 CD3COOD C4D8O2 H2O D2O CF3COOD CD3OD ND3 CD3COCD3 C6D6 CD3CN 查询空值  
匹配容差: (数字格式,可自行设定)
相似度:  %(相似度>=50%)  




查询结果:共查到1432个化合物(查询结果仅供参考)  
--------------------------------------------------------------------------------

1 .     trichosanatine
C27H28N2O4     相似度:75%
Acta Pharmaceutica Sinica          1995          30          517-520
STRUCTURE DETERMINATION OF TRICHOSANATINE FROM TRICHOSANTHES ROSTHORNII
ZM Chao and JM Liu
Structure      13C NMR   碳谱模拟图

--------------------------------------------------------------------------------

2 .     [4(5)S]-4(5)-(2-Aminoethyl)-2-[(naphthyl-1)methylene]imidazoline dihydrobromide
C16H21Br2N3     相似度:68.7%
Bioorganic & Medicinal Chemistry          2011          19          156-167
New imidazoline/α2-adrenoceptors affecting compounds—4(5)-(2-aminoethyl)imidazoline (dihydrohistamine)derivatives. Synthesis and receptor affinity studies
Adam P. Treder, Ryszard Andruszkiewicz, Włodzimierz Zgoda, Aleksandra Walkowiak,Celeste Ford, Alan L. Hudson
Structure      13C NMR   碳谱模拟图

--------------------------------------------------------------------------------

3 .     [4(5)R]-4(5)-(2-Aminoethyl)-2-[(naphthyl-1)methylene]imidazoline dihydrobromide
C16H21Br2N3     相似度:68.7%
Bioorganic & Medicinal Chemistry          2011          19          156-167
New imidazoline/α2-adrenoceptors affecting compounds—4(5)-(2-aminoethyl)imidazoline (dihydrohistamine)derivatives. Synthesis and receptor affinity studies
Adam P. Treder, Ryszard Andruszkiewicz, Włodzimierz Zgoda, Aleksandra Walkowiak,Celeste Ford, Alan L. Hudson
Structure      13C NMR   碳谱模拟图

--------------------------------------------------------------------------------

4 .     compound 3a
    相似度:68.7%
Bioorganic & Medicinal Chemistry          2010          18          2651-2663
Inhibition of Escherichia coli glycosyltransferase MurG and Mycobacterium tuberculosis Gal transferase by uridine-linked transition state mimics
Amy E. Trunkfield, Sudagar S. Gurcha, Gurdyal S. Besra, Timothy D.H. Bugg
Structure      13C NMR   碳谱模拟图

--------------------------------------------------------------------------------

5 .     2-benzoylaminothiobenzamide h
C16H16N2OS     相似度:66.6%
Molecules          2001          6          323-337
Synthesis of Substituted 2-Benzoylaminothiobenzamides and Their Ring Closure to Substituted 2-Phenylquinazoline-4-thiones
Jiří Hanusek, Ludmila Hejtmánková, Lenka Kubicová and Miloš Sedlák
Structure      13C NMR   碳谱模拟图

--------------------------------------------------------------------------------

6 .     Methyl 2-(1-oxido-2-methoxypyridin-5-yl)phenylacetate
C15H15NO4     相似度:66.6%
Canadian Journal of Chemistry          2011          89          617–622
Synthesis of phenylacetic acid regioisomers possessing an N-substituted 1, 2-dihydropyrid-2-one pharmacophore — Evaluation as inhibitors of cyclooxygenases and 5-lipoxygenase
Gang Yu, Morshed A. Chowdhury, Zhangjian Huang, Khaled R. A. Abdellatif, and Edward E. Knaus
Structure      13C NMR   碳谱模拟图

--------------------------------------------------------------------------------

7 .     1-(2-chlorobenzyl)-1-(2-chlorobenzyloxy)urea
C15H14Cl2N2O2     相似度:66.6%
Chemical & Pharmaceutical Bulletin          2010          58          94-97
Synthesis, Antitumor Evaluation and Crystal Structure of Hydroxyurea Derivatives
Xi Mai, Xiaosan Lu, Hongying Xia, Yusheng Cao, Yijing Liao and Xiaolan Lv
Structure      13C NMR   碳谱模拟图

--------------------------------------------------------------------------------

8 .     compound 4b
    相似度:66.6%
Indian Journal of Chemistry          2009          48B          1144-1147
Synthesis and characterization of 5-(2-nitro-1-arylpropyl)-4-aryl-1,2,3-selenadiazoles
Saravanan,S; Amuthavalli,A; Muthusubramanian,S
Structure      13C NMR   碳谱模拟图

--------------------------------------------------------------------------------

9 .     methyl 6'-(azidomethyl)-4'-chlorobiphenyl-2-carboxylate
    相似度:66.6%
Heterocycles          2010          80          669-677
A Concise Synthesis of 6,7-Dihydro-5H-dibenz[c,e]azepin-5-one
Young-Hyoung Goh, Guncheol Kim, Bum Tae Kim, and Jung-Nyoung Heo
Structure      13C NMR   碳谱模拟图

--------------------------------------------------------------------------------

10 .     4-(2-tolyl)-1H-1-tritylpyrazole
C29H24N2     相似度:66.6%
Heterocycles          2010          81          1509-1516
Synthesis of 4-Aryl-1H-pyrazoles by Suzuki-Miyaura Cross Coupling Reaction between 4-Bromo-1H-1-tritylpyrazole and Arylboronic Acids
Hayato Ichikawa, Miho Nishioka, Masao Arimoto, and Yoshihide Usami
Structure      13C NMR   碳谱模拟图

--------------------------------------------------------------------------------

11 .     1,3,5-triphenyl-2-thioxodihydro-4,6(1H,5H)-pyrimidinedione
C22H16N2O2S     相似度:66.6%
Heterocycles          2009          78          1015-1022
The Condensation of (Chlorocarbonyl)phenylketene with 1,3-Dinucleophiles. II. Preparation of 2-Hydroxy-3-phenyl-4H-pyrimido[2,1-b][1,3]benzothiazol-4-ones and Thioxo Dihydro-4,6(1H,5H)-pyrimidinones
Hassan Sheibani and Mahboobeh Zahedifar
Structure      13C NMR   碳谱模拟图

--------------------------------------------------------------------------------

12 .     (R)-S-methyl-3-benzyl-4-phenyloxazolidin-2-thionium triflate
C17H17NOS     相似度:66.6%
Heterocycles          2008          75          2459-2475
Reactivity of (R)-4-Phenyloxazolidine-2-thione Chiral Auxiliary: From Deprotection to Heterocyclic Interconversion
Jean-Christophe Monbaliu, Bernard Tinant, and Jacqueline Marchand-Brynaert
Structure      13C NMR   碳谱模拟图

--------------------------------------------------------------------------------

13 .     compound 4b
C19H20N2S     相似度:66.6%
Heterocycles          2008          75          2825-2833
A Convenient One-Pot Three Component Approach to Synthesis of Highly Substituted Iminothiazolines
Heshmat Allah Samimi, Manouchehr Mamaghani, and Khalil Tabatabaeian
Structure      13C NMR   碳谱模拟图

--------------------------------------------------------------------------------

14 .     Compound 9h
C16H13N2OCl     相似度:66.6%
Bioorganic & Medicinal Chemistry Letters          2006          16          2786-2790
Vasorelaxant activity of phthalazinones and related compounds
Esther del Olmo, Bianca Barboza, M Inés Ybarra, José Luis López-Pérez, Rosalía Carrón, M Angeles Sevilla, Cinthia Boselli, Arturo San Feliciano
Structure      13C NMR   碳谱模拟图

--------------------------------------------------------------------------------

15 .     12-Methyl-9,14-dithia-benzotriphenylene
    相似度:66.6%
Tetrahedron Letters          2004          45          1343-1346
A novel one-pot synthesis of derivatives of aryldioxins and aryldithiins
Patcharee Preedasuriyachai, Porntip Charoonniyomporn, Osit Karoonnirun, Tienthong Thongpanchang, Yodhathai Thebtaranonth
Structure      13C NMR   碳谱模拟图

--------------------------------------------------------------------------------

16 .     compound 9a
C21H18ClNO2S     相似度:66.6%
Tetrahedron Letters          2005          46          8889-8893
Amidine derivatives of α-arylglycines from N-(1-aryl-2,2,2-trichloroethyl)amides of arenesulfonic acids and secondary amines
Igor B. Rozentsveig, Galina G. Levkovskaya, Gulnur N. Rozentsveig, Anna N. Mirskova, Leonid B. Krivdin, Ludmila I. Larina, Aleksandr I. Albanov
Structure      13C NMR   碳谱模拟图

--------------------------------------------------------------------------------

17 .     compound 9b
C21H17Cl2NO2S     相似度:66.6%
Tetrahedron Letters          2005          46          8889-8893
Amidine derivatives of α-arylglycines from N-(1-aryl-2,2,2-trichloroethyl)amides of arenesulfonic acids and secondary amines
Igor B. Rozentsveig, Galina G. Levkovskaya, Gulnur N. Rozentsveig, Anna N. Mirskova, Leonid B. Krivdin, Ludmila I. Larina, Aleksandr I. Albanov
Structure      13C NMR   碳谱模拟图

--------------------------------------------------------------------------------

18 .     compound 15
    相似度:66.6%
Bioorganic & Medicinal Chemistry          1993          1          415-422
Inhibition of the HIV-1 and HIV-2 proteases by curcumin and curcumin boron complexes
Zhihua Sui, Rafael Salto, Jia Li, Charles Craik, Paul R. Ortiz de Montellano
Structure      13C NMR   碳谱模拟图

--------------------------------------------------------------------------------

19 .     compound 32
C18H20O2Se     相似度:66.6%
Heterocycles          2002          57          293-305
Stereoselective Synthesis of Substituted Tetrahydropyran Rings via 6-exo and 6-endo Selenoetherification
Carmela Aprile, Michelangelo Gruttadauria,* Paolo Lo Meo, Serena Riela, and Renato Noto
Structure      13C NMR   碳谱模拟图

--------------------------------------------------------------------------------

20 .     3-methoxycarbonyl-4-phenylcarbonyl-2-phenylfuran
    相似度:66.6%
Heterocycles          2001          55          265-277
Regioselective Friedel-Crafts Acylation with Unsymmetrically Substituted Furan-dicarboxylic Acid Anhydride and Furan Acid Chloride: Syntheses of 4-Substituted 3-Arylcarbonyl-2-phenylfuran and 3-Substituted 4-Arylcarbonyl-2-phenylfuran
Shrong-Shi Lin, Xiao-Ping Nie, Jun-Hua Yu, and Xiu-Lin Ye
Structure      13C NMR   碳谱模拟图

--------------------------------------------------------------------------------

21 .     desmethyl diazepam
    相似度:66.6%
Organic Magnetic Resonance          1982          19          49-53
Analysis and applications of 13C NMR lanthanide induced shifts of 1,4-benzodiazepines
H.-H. Paul, H. Sapper, W. Lohmann and H.-O. Kalinowski
Structure      13C NMR   碳谱模拟图

1 .     trichosanatine

2楼2012-01-06 22:41:56
已阅   回复此楼   关注TA 给TA发消息 送TA红花 TA的回帖

wfwsgv

铁杆木虫 (正式写手)

送鲜花一朵
谢谢啊
3楼2012-01-07 13:37:22
已阅   回复此楼   关注TA 给TA发消息 送TA红花 TA的回帖
相关版块跳转 我要订阅楼主 wfwsgv 的主题更新
最具人气热帖推荐 [查看全部] 作者 回/看 最后发表
[考研] 400分求调剂 +3 尴尬且挠头 2026-04-04 3/150 2026-04-04 08:41 by jp9609
[考研] 化学调剂求助 +6 LULONG1 2026-04-03 6/300 2026-04-03 23:13 by qzxyhcsy
[考研] 考研调剂 +3 15615482637 2026-04-03 3/150 2026-04-03 22:50 by ms629
[考研] 357求调剂 +13 1050389037 2026-04-03 13/650 2026-04-03 22:27 by 无际的草原
[考研] 08工科275分求调剂 +14 AaAa7420 2026-03-31 14/700 2026-04-03 11:13 by cocolv
[考研] 298分 070300求调剂 +11 zwen03 2026-04-02 11/550 2026-04-03 10:19 by macy2011
[考研] 085600 295分求调剂 +19 W55j 2026-03-30 23/1150 2026-04-03 09:53 by 千千运气
[考研] 338求调剂,一志愿能源动力,外语是日语203 +5 zzz,,r 2026-04-02 5/250 2026-04-03 09:45 by 蓝云思雨
[考研] 一志愿a区211,085601-307分求调剂 +13 党嘉豪 2026-03-31 26/1300 2026-04-03 08:33 by 495374996
[考研] 309分085801求调剂 +10 MY_angel 2026-03-31 10/500 2026-04-02 22:42 by yunlongyang
[考研] 349求调剂 +6 吃的不少 2026-04-01 6/300 2026-04-01 17:55 by JYD2011
[考研] 350求调剂 +7 阿佳~ 2026-03-31 7/350 2026-04-01 16:12 by yanflower7133
[考研] 一志愿华南师范361分,化学求调剂 +4 Nicole88888 2026-04-01 4/200 2026-04-01 10:08 by 唐沐儿
[考研] 一志愿武理材料工程302调剂环化或化工 +15 Doleres 2026-03-31 16/800 2026-04-01 09:49 by lfj11
[考研] 080200学硕,机械工程专业277分,求带走! +4 瓶子PZ 2026-03-31 4/200 2026-03-31 20:16 by vgtyfty
[考研] 考研调剂 +9 小蜡新笔 2026-03-29 10/500 2026-03-31 19:52 by Dyhoer
[考研] 080500-315分复试调剂 +9 上岸3821 2026-03-31 9/450 2026-03-31 17:29 by 唐沐儿
[考博] 材料专业申博 +5 杜雨婷dyt 2026-03-29 5/250 2026-03-31 11:19 by oooqiao
[考研] 266求调剂 +3 哇呼哼呼哼 2026-03-29 3/150 2026-03-31 10:06 by cal0306
[考研] 293求调剂 +3 末未mm 2026-03-30 5/250 2026-03-30 17:23 by 王保杰33
信息提示
请填处理意见