| 查看: 467 | 回复: 2 | ||
nanjiao_12铁杆木虫 (著名写手)
Patience
|
[求助]
配合物磁性问题
|
» 本主题相关价值贴推荐,对您同样有帮助:
二维锰的磁性拟合公式,有两个不同的磁交换作用
已经有15人回复
castep计算判断材料的磁性
已经有13人回复
关于计算磁性交换常数J的问题
已经有20人回复
变温磁化率的计算
已经有5人回复
求助【线状三核Mn配合物】的磁性问题。100金币感谢应助者!
已经有14人回复
氢离子是抗磁性还是顺磁性
已经有4人回复
关于席夫碱金属配合物的问题,氢谱
已经有10人回复
请教怎么用MS构建一个金属配合物的晶体结构,金币不是问题!
已经有13人回复
请教单稀土配合物怎么翻译?
已经有3人回复
关于Co的磁性问题
已经有7人回复
金属Rh络合物核磁问题
已经有3人回复
配合物的核磁问题
已经有8人回复
如何测配合物是高自旋还是低自旋。
已经有10人回复
100金币求解决如下问题,谢谢啦
已经有5人回复
铜的配合物变色
已经有6人回复
关于金属配合物的磁性测定
已经有2人回复
【求助】求助磁性拟合相关计算知识!
已经有4人回复
【求助】请教一个金属与有机化合物配合物的问题,为什么打不出核磁!
已经有36人回复
【讨论】如何利用gaussian来解释关于不同合成条件下得到的两种配合物(50金币)
已经有20人回复
【讨论】配合物做核磁有什么用?
已经有17人回复
【请教】稀土配合物的磁性拟和
已经有20人回复

【答案】应助回帖
★
感谢参与,应助指数 +1
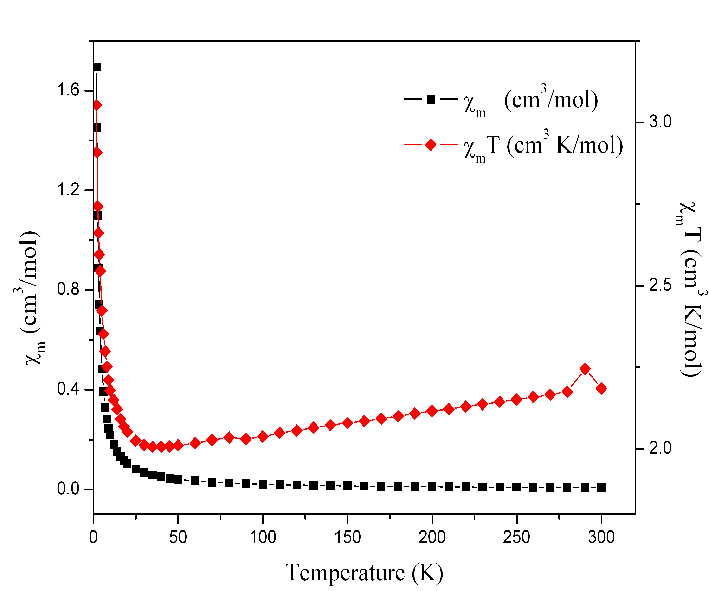
nanjiao_12(金币+10): ★★★很有帮助 谢谢啦,在分子磁性这方面我简直就什么都不知道,你说处理,指的就是将这个点去掉还是?麻烦了。 2011-12-28 14:08:46
lijunjie84(金币+1): 谢谢应助! 2011-12-28 15:43:38
感谢参与,应助指数 +1
nanjiao_12(金币+10): ★★★很有帮助 谢谢啦,在分子磁性这方面我简直就什么都不知道,你说处理,指的就是将这个点去掉还是?麻烦了。 2011-12-28 14:08:46
lijunjie84(金币+1): 谢谢应助! 2011-12-28 15:43:38
| 有没有检查你这个数据的原始文件Long Scan Std Dev(通常小于10-4)和Long Reg Fit(接近1),我个人基本上认为99.9%几率是这个点的测试出现偏差导致,因此在X-T上不明显,但是XT-T放大了这个误差。你可以放心的对这个点做处理。 |
2楼2011-12-28 13:53:00
3楼2012-01-04 18:42:05












回复此楼