±±¾©Ê¯ÓÍ»¯¹¤Ñ§Ôº2026ÄêÑо¿ÉúÕÐÉú½ÓÊÕµ÷¼Á¹«¸æ
²é¿´: 321  |  »Ø¸´: 1

Shoney

ľ³æ (ÖøÃûдÊÖ)

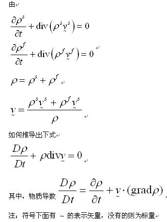
[ÇóÖú] Ò»¸öʽ×ÓµÄÍÆµ¼£¬´ïÈ˰ïæ£¡

¾ßÌå¼û¸½¼þͼ
»Ø¸´´ËÂ¥

» ²ÂÄãϲ»¶

» ±¾Ö÷ÌâÏà¹Ø¼ÛÖµÌùÍÆ¼ö£¬¶ÔÄúͬÑùÓаïÖú:

ÒÑÔÄ   »Ø¸´´ËÂ¥   ¹Ø×¢TA ¸øTA·¢ÏûÏ¢ ËÍTAºì»¨ TAµÄ»ØÌû

racoon01

ר¼Ò¹ËÎÊ (ÖøÃûдÊÖ)

¡¾´ð°¸¡¿Ó¦Öú»ØÌû

¸Ðл²ÎÓ룬ӦÖúÖ¸Êý +1
Shoney(½ð±Ò+10): ллӦÖú 2012-02-01 10:05:14
½â´ð¼û¸½Í¼¡£


racoon
2Â¥2011-12-12 20:07:20
ÒÑÔÄ   »Ø¸´´ËÂ¥   ¹Ø×¢TA ¸øTA·¢ÏûÏ¢ ËÍTAºì»¨ TAµÄ»ØÌû
Ïà¹Ø°æ¿éÌø×ª ÎÒÒª¶©ÔÄÂ¥Ö÷ Shoney µÄÖ÷Ìâ¸üÐÂ
×î¾ßÈËÆøÈÈÌûÍÆ¼ö [²é¿´È«²¿] ×÷Õß »Ø/¿´ ×îºó·¢±í
[¿¼ÑÐ] ¿¼Ñе÷¼Á +6 ºôºô£¿~+123456 2026-03-21 6/300 2026-03-28 13:33 by ÌÆãå¶ù
[¿¼ÑÐ] ²ÄÁÏÓ뻯¹¤£¨0856£©304ÇóBÇøµ÷¼Á +8 Çñgl 2026-03-27 8/400 2026-03-28 12:42 by ÌÆãå¶ù
[¿¼ÑÐ] 291Çóµ÷¼Á +15 hhhhxn.. 2026-03-23 21/1050 2026-03-28 11:26 by self2008
[¿¼ÑÐ] 292Çóµ÷¼Á +14 ¶ì¶ì¶ì¶î¶î¶î¶î¶ 2026-03-25 15/750 2026-03-28 08:45 by WYUMater
[¿¼ÑÐ] ²ÄÁÏÓ뻯¹¤085600£¬×Ü·Ö304£¬±¾¿ÆÓÐÁ½Æªsci²ÎÓ룬Çóµ÷¼Á +10 ÐÒÔ˵Ľ´½´ 2026-03-22 12/600 2026-03-27 16:08 by muchong357
[¿¼ÑÐ] 314Çóµ÷¼Á +3 ÏªÔÆçæ 2026-03-26 3/150 2026-03-27 11:20 by sanrepian
[¿¼ÑÐ] µ÷¼ÁÍÆ¼ö +5 Ç徯714 2026-03-26 6/300 2026-03-27 11:12 by ²»³Ôô~µÄ؈
[¿¼ÑÐ] ²ÄÁÏÇóµ÷¼Á +5 .m.. 2026-03-25 5/250 2026-03-27 11:08 by ²»³Ôô~µÄ؈
[¿¼ÑÐ] 292Çóµ÷¼Á +4 ÇóÇóÁËÊÕÏÂÎÒ°É£ 2026-03-26 4/200 2026-03-27 10:37 by zhshch
[¿¼ÑÐ] 0703»¯Ñ§338Çóµ÷¼Á£¡ +6 Zuhui0306 2026-03-26 7/350 2026-03-27 10:35 by shangxh
[¿¼ÑÐ] ²ÄÁÏѧ˶333Çóµ÷¼Á +8 ±±µÀÏï 2026-03-24 8/400 2026-03-27 10:18 by ÎÒÊÇС¿µ
[¿¼ÑÐ] 304²ÄÁÏÇóµ÷¼Á +4 ÖÓllll 2026-03-26 4/200 2026-03-27 03:42 by wxiongid
[¿¼ÑÐ] 085602»¯Ñ§¹¤³ÌÇóµ÷¼Á¡£ +4 ƽÀÖÀÖÀÖ 2026-03-26 4/200 2026-03-26 17:57 by fmesaito
[¿¼ÑÐ] 291 Çóµ÷¼Á +7 »¯¹¤2026½ì±ÏÒµÉ 2026-03-21 8/400 2026-03-26 11:25 by AlenQIN.
[¿¼ÑÐ] Ò»Ö¾Ô¸ÉϺ£½»´óÉúÎïÓëҽҩר˶324·Ö£¬Çóµ÷¼Á +6 jiajunX 2026-03-22 6/300 2026-03-25 23:05 by licg0208
[¿¼ÑÐ] 332Çóµ÷¼Á +6 032500 2026-03-25 6/300 2026-03-25 22:45 by 418490947
[¿¼ÑÐ] 290·Öµ÷¼ÁÇóÖú +3 ¼ªÏéÖ¹Ö¹³Â 2026-03-25 3/150 2026-03-25 19:58 by barlinike
[¿¼ÑÐ] BÇø¿¼Ñе÷¼Á +4 yqdszhdap£­ 2026-03-22 5/250 2026-03-25 08:51 by baoball
[¿¼ÑÐ] ²ÄÁÏר˶ÕÒµ÷¼Á +5 ¹þ¹þ¹þºðºðºð¹þ 2026-03-23 5/250 2026-03-24 19:07 by ÁËÁËÁËÁË¡£¡£
[¿¼ÑÐ] Ò»Ö¾Ô¸¶«»ª´óѧ»¯Ñ§070300£¬Çóµ÷¼Á +7 2117205181 2026-03-21 8/400 2026-03-22 22:55 by chixmc
ÐÅÏ¢Ìáʾ
ÇëÌî´¦ÀíÒâ¼û