| 查看: 914 | 回复: 6 | |
[求助]
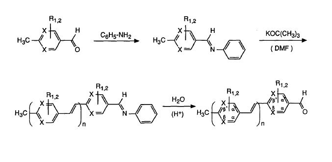
哪位大侠能告诉我这是属于什么类型的聚合?有人名吗?
|
|
|
|
|
champion.l银虫 (初入文坛)
|
|
![]() |
|
|
2楼2011-12-09 10:46:25
|
|
|
3楼2011-12-09 10:48:39
|
|
![]() |
|
|
4楼2011-12-11 11:38:37
|
|
yinjiashan金虫 (初入文坛)
新手
|
|
![]() |
|
|
5楼2011-12-11 12:06:02
|
|
|
6楼2011-12-13 09:54:57
|
|
|
7楼2011-12-13 09:55:09
|
|













回复此楼