| 查看: 1216 | 回复: 6 | ||
xhzha铁杆木虫 (正式写手)
|
[求助]
关于用准简谐方法算热膨胀的问题
|
|
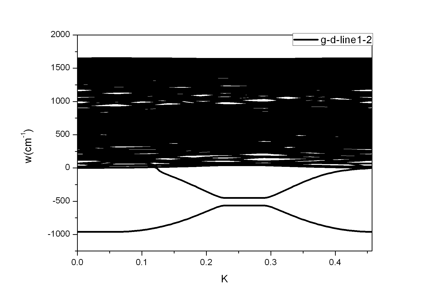
大家好,用准简谐方法算热膨胀或是其他物理性质时,一般对于体系的声子谱尽量避免虚频,虚频也有用于验证结构的稳定性。 但是我最近算的一个体系的声子谱就有一个很特征性的单一的虚频,基本确定不是由于计算误差造成的,对于这种有明显的虚频的结构还能用准简谐方法算它的一些物理性质么,例如热膨胀。 看到文献说虚频会使热膨胀结果偏大,但不是由计算误差造成的虚频是不是也不能用于计算材料的物理性质呢?望大家给以指点。 |
» 猜你喜欢
北京纳米能源与系统研究所王中林院士/曹南颖研究员课题组招收2026硕士研究生1名
已经有0人回复
山西大同大学物理学硕士研究生招收调剂生
已经有0人回复
物理学I论文润色/翻译怎么收费?
已经有111人回复
[调剂信息]211智能人工感知方向国家青年特聘专家课题组招收调剂研究生
已经有0人回复
[调剂信息]211智能人工感知方向国家青年特聘专家课题组招收调剂研究生
已经有0人回复
[调剂信息]211智能人工感知方向国家青年特聘专家课题组招收调剂研究生
已经有0人回复
一志愿物理所凝聚态物理352求调剂
已经有0人回复
0702一志愿吉大B区求调剂 本科期间发表一篇Sci
已经有2人回复
0702一志愿吉大B区求调剂 本科期间发表一篇Sci
已经有0人回复
070200求调剂,一志愿某211,288分
已经有18人回复
» 本主题相关商家推荐: (我也要在这里推广)
» 本主题相关价值贴推荐,对您同样有帮助:
求助苯环上的醛基保护方法,反应的催化剂最好容易得到。
已经有4人回复
关于铜盐作催化剂的问题
已经有15人回复
关于申报时的信息填写问题
已经有4人回复
关于细胞实验是否必须要除盐和蛋白质透析的问题
已经有11人回复
关于冰品中固形物的相关问题
已经有3人回复
关于Matlab作图的问题
已经有14人回复
关于13年考研,考哪所学校的一些问题解答
已经有27人回复
请教大家关于药品辅料没有批文的问题
已经有5人回复
关于原子吸收分光光度法检测沉积物和海水的检出限问题
已经有7人回复
软件MestReNova使用中的问题
已经有9人回复
不锈钢的热膨胀问题,本来应该发到粉末冶金板块,无奈没有这个板块
已经有22人回复
四方晶系热膨胀系数的理论计算
已经有5人回复
重金请教采用准谐近似求热膨胀系数的方法
已经有16人回复
2楼2011-11-22 20:42:53
xhzha
铁杆木虫 (正式写手)
- 应助: 37 (小学生)
- 金币: 9454.6
- 散金: 30
- 红花: 7
- 帖子: 409
- 在线: 577.7小时
- 虫号: 1101711
- 注册: 2010-09-17
- 性别: GG
- 专业: 凝聚态物性I:结构、力学和
3楼2011-11-22 22:21:03
4楼2011-12-06 16:16:26
xhzha
铁杆木虫 (正式写手)
- 应助: 37 (小学生)
- 金币: 9454.6
- 散金: 30
- 红花: 7
- 帖子: 409
- 在线: 577.7小时
- 虫号: 1101711
- 注册: 2010-09-17
- 性别: GG
- 专业: 凝聚态物性I:结构、力学和
5楼2011-12-07 10:10:51
6楼2011-12-07 15:56:21
xhzha
铁杆木虫 (正式写手)
- 应助: 37 (小学生)
- 金币: 9454.6
- 散金: 30
- 红花: 7
- 帖子: 409
- 在线: 577.7小时
- 虫号: 1101711
- 注册: 2010-09-17
- 性别: GG
- 专业: 凝聚态物性I:结构、力学和
7楼2011-12-07 20:50:35














回复此楼