| 查看: 1731 | 回复: 3 | |
jeeanlee木虫 (正式写手)
|
[求助]
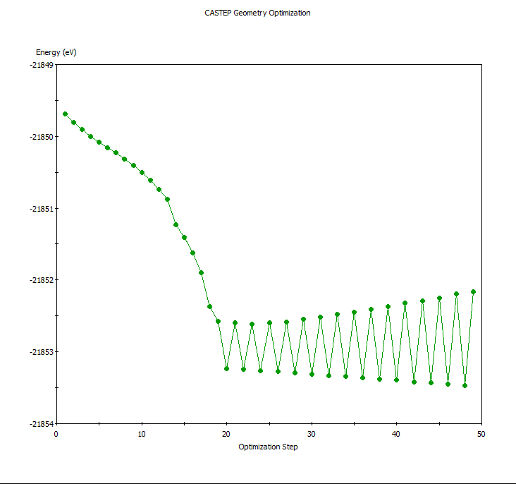
CASTEP任务的BFGS迭代出现振荡,如何修改计算参数?
|
|
|
|
jeeanlee木虫 (正式写手)
|
|
|
2楼2011-11-11 12:47:07
|
|
acridine木虫 (正式写手)
|
|
|
3楼2011-11-11 17:31:47
|
|
jeeanlee木虫 (正式写手)
|
|
|
4楼2011-11-18 22:57:22
|
|














回复此楼