| 查看: 2998 | 回复: 3 | ||
lili123wang金虫 (正式写手)
|
[求助]
积累弦长参数化法??
|
|
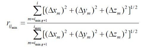
各位有知道积累弦长参数化法么? 就是图片中的这个公式,我是在一个硕士论文中看到的,搞不懂i j 还有m=imin g+1 是什么意思~~ 麻烦知道的虫虫给俺讲解下,或是推荐下看哪本书? [ Last edited by lili123wang on 2011-10-27 at 10:43 ] |
» 猜你喜欢
请问有评职称,把科研教学业绩算分排序的高校吗
已经有6人回复
2025冷门绝学什么时候出结果
已经有6人回复
Bioresource Technology期刊,第一次返修的时候被退回好几次了
已经有7人回复
真诚求助:手里的省社科项目结项要求主持人一篇中文核心,有什么渠道能发核心吗
已经有8人回复
寻求一种能扛住强氧化性腐蚀性的容器密封件
已经有5人回复
请问哪里可以有青B申请的本子可以借鉴一下。
已经有4人回复
请问下大家为什么这个铃木偶联几乎不反应呢
已经有5人回复
天津工业大学郑柳春团队欢迎化学化工、高分子化学或有机合成方向的博士生和硕士生加入
已经有4人回复
康复大学泰山学者周祺惠团队招收博士研究生
已经有6人回复
AI论文写作工具:是科研加速器还是学术作弊器?
已经有3人回复
» 本主题相关价值贴推荐,对您同样有帮助:
有机试剂的纯化方法
已经有17人回复
锂离子浓度积累造成的电压变化 浓度积累在哪里?
已经有11人回复
一句话地道英文写法(分析化学),要求无语法错误,无口语化,无歧义,谢谢。
已经有5人回复
恒电流沉积(计时电位法)的参数设置
已经有12人回复
计时电流法参数设置
已经有9人回复
【求助/交流】有谁知道纤维素酶的浓缩纯化都有哪些方法?
已经有10人回复
【求助】关于离心法测定乳化性问题
已经有5人回复
【求助】计时电位法参数如何设置?
已经有18人回复
【求助/交流】原子吸收分光光度法测重金属含量
已经有10人回复
【求助】【请教】计时电位法参数设置
已经有5人回复
【求助】等体积浸渍法
已经有11人回复
【请教】交流循环伏安法如何设置参数
已经有9人回复

lili123wang
金虫 (正式写手)
- 应助: 0 (幼儿园)
- 金币: 1148.9
- 散金: 387
- 红花: 2
- 帖子: 392
- 在线: 172.5小时
- 虫号: 1051594
- 注册: 2010-07-04
- 性别: MM
- 专业: 材料加工

2楼2011-10-27 16:08:07
Jackie2011
木虫 (正式写手)
- 应助: 39 (小学生)
- 金币: 2679
- 散金: 10
- 红花: 3
- 帖子: 780
- 在线: 292.4小时
- 虫号: 1222476
- 注册: 2011-03-05
- 专业: 计算数学与科学工程计算

3楼2011-10-27 21:43:24
【答案】应助回帖
lili123wang(金币+5): 谢谢您 ^_^ 2011-10-28 10:13:23
lili123wang(金币+4): 2011-10-28 10:15:30
soliton923: 鼓励新虫参与讨论~~ 2011-10-28 10:21:27
lili123wang(金币+4): 2011-10-28 10:15:30
soliton923: 鼓励新虫参与讨论~~ 2011-10-28 10:21:27
|
给定空间中若干个点,可得一条插值曲线。若直接连点,可得一条折线。对于曲线,弧长参数化是一种自然参数化。 现要用折线模拟曲线,其弧长参数化,相应地用弦长参数化代替。 问题中的式子,分母是总弦长(勾股定理),即分段折线的总长度;分子是从起始点到要参数化的点的弦长。 例如,共有5个点A,B,C,D,E 对于B的参数化为: AB/(AB+BC+CD+DE),对于C的参数化为(AB+BC)/(AB+BC+CD+DE),对于D为(AB+BC+CD)/(AB+BC+CD+DE),这里的AB表示AB段的长度,其余类似。 除以总弦长的目的是单位化。 以上解释如果还不明白,可以看数值逼近一类的书,例如王仁宏《数值逼近》。如果想更专业一些,可以看计算几何的任何一本入门教程。 |
4楼2011-10-28 09:57:31













回复此楼
文献中公式前面提到文献59,找找看?