| 查看: 1838 | 回复: 4 | ||
fly_elephan银虫 (小有名气)
|
[求助]
分波态密度如何画?
|
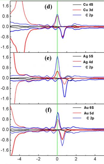
请高手指点下面的分波态密度是怎么画出来的?我计算的体系是52个原子,用vasp计算得到OUTCAR后,直接用split_dos.sh处理后得到DOS0,DOS1……DOS52,其中DOS0是总态密度,其余是分态密度,但是画出来的图完全不像下面这种情况,所以请高手指教,小弟感激不尽!![]() ![]() |
» 猜你喜欢
材料专硕322
已经有4人回复
308求调剂
已经有11人回复
机械专硕274求调剂,不挑专业学校
已经有7人回复
336材料与化工085600求调剂
已经有6人回复
一志愿郑州大学085600求调剂
已经有18人回复
302分求调剂 一志愿安徽大学085601
已经有8人回复
294求调剂
已经有5人回复
生物与医药求调剂
已经有6人回复
求调剂
已经有8人回复
一志愿北京化工085600 310分求调剂
已经有16人回复
» 本主题相关价值贴推荐,对您同样有帮助:
有关态密度问题??
已经有3人回复
电子态密度怎么画图啊?
已经有4人回复
the wave-function squares of above neutral defect states 这是怎么计算的
已经有4人回复
【求助】如何用DOSCAR画态密度呢
已经有12人回复
【求助】DOSCAR
已经有14人回复
【求助成功】怎么画出5个d轨道分别对应的态密度
已经有23人回复
【分享】关于态密度的一些好的分享
已经有14人回复
【求助】怎样分析能带【完结】
已经有4人回复
电子结构和态密度以及能带之间有什么关系?
已经有6人回复
【求助】关于eg和t2g DOS画图的 标度 问题
已经有17人回复
likai0106
金虫 (小有名气)
- 1ST强帖: 2
- 应助: 38 (小学生)
- 金币: 1352.4
- 帖子: 233
- 在线: 68.5小时
- 虫号: 634278
- 注册: 2008-10-23
- 性别: GG
- 专业: 凝聚态物性 II :电子结构
2楼2011-10-27 10:23:46
fly_elephan
银虫 (小有名气)
- 1ST强帖: 1
- 应助: 3 (幼儿园)
- 金币: 268.4
- 散金: 35
- 红花: 7
- 帖子: 219
- 在线: 124.2小时
- 虫号: 1177420
- 注册: 2010-12-25
- 性别: GG
- 专业: 电路与系统
3楼2011-10-27 17:27:58
likai0106
金虫 (小有名气)
- 1ST强帖: 2
- 应助: 38 (小学生)
- 金币: 1352.4
- 帖子: 233
- 在线: 68.5小时
- 虫号: 634278
- 注册: 2008-10-23
- 性别: GG
- 专业: 凝聚态物性 II :电子结构
4楼2011-10-28 08:17:56

5楼2012-02-02 08:47:37















回复此楼