| ²é¿´: 5606 | »Ø¸´: 8 | ||
1123580ľ³æ (ÕýʽдÊÖ)
|
[ÇóÖú]
ÀûÓü«×ø±êÇó½âÍÖÔ²Ãæ»ý¡£¡£¡£Çë¸÷λ´Í½Ì
|
|
ÍÖÔ²·½³Ì x^2/a^2+y^2/b^2=1, ÀûÓü«×ø±êÇó½â¸ÃÍÖÔ²µÄÃæ»ý¡£¡£¡£ Çë¸÷λ´Í½Ì~ |
» ²ÂÄãϲ»¶
265Çóµ÷¼Á
ÒѾÓÐ8È˻ظ´
0817 »¯Ñ§¹¤³Ì 299·ÖÇóµ÷¼Á ÓпÆÑоÀú ÓжþÇøÎÄÕÂ
ÒѾÓÐ21È˻ظ´
295²ÄÁÏÇóµ÷¼Á£¬Ò»Ö¾Ô¸Î人Àí¹¤085601ר˶
ÒѾÓÐ4È˻ظ´
0856µ÷¼Á£¬ÊÇѧУ¾ÍÈ¥
ÒѾÓÐ9È˻ظ´
298-Ò»Ö¾Ô¸Öйúũҵ´óѧ-Çóµ÷¼Á
ÒѾÓÐ9È˻ظ´
Çóµ÷¼Á
ÒѾÓÐ4È˻ظ´
ѧУÒѾÌá½»µ½NSFC£¬»¹ÄÜÐÞ¸ÄÂð£¿
ÒѾÓÐ7È˻ظ´
²ÄÁÏѧ˶297ÒѹýËÄÁù¼¶Çóµ÷¼ÁÍÆ¼ö
ÒѾÓÐ6È˻ظ´
295¸´ÊÔµ÷¼Á
ÒѾÓÐ7È˻ظ´
±¾ÈË¿¼085602 »¯Ñ§¹¤³Ì ר˶
ÒѾÓÐ20È˻ظ´
xiuyouxu
Ìú¸Ëľ³æ (Ö°Òµ×÷¼Ò)
- Ó¦Öú: 43 (СѧÉú)
- ½ð±Ò: 16629.2
- É¢½ð: 540
- ºì»¨: 6
- ɳ·¢: 2
- Ìû×Ó: 3211
- ÔÚÏß: 587.6Сʱ
- ³æºÅ: 1256596
- ×¢²á: 2011-04-06
- ÐÔ±ð: GG
- רҵ: ÊýÀíͳ¼Æ

2Â¥2011-10-13 19:22:47
xuyx_78
½ð³æ (СÓÐÃûÆø)
- Ó¦Öú: 39 (СѧÉú)
- ½ð±Ò: 1714.5
- ºì»¨: 1
- Ìû×Ó: 176
- ÔÚÏß: 80.3Сʱ
- ³æºÅ: 1385856
- ×¢²á: 2011-09-01
- רҵ: ¼ÆËãÊýѧÓë¿ÆÑ§¹¤³Ì¼ÆËã
3Â¥2011-10-13 19:30:54
soliton923
Ìú¸Ëľ³æ (Ö°Òµ×÷¼Ò)
Êýѧ´å´å³¤
- ÊýѧEPI: 1
- Ó¦Öú: 36 (СѧÉú)
- ¹ó±ö: 0.565
- ½ð±Ò: 4146.4
- É¢½ð: 5275
- ºì»¨: 72
- ɳ·¢: 21
- Ìû×Ó: 3489
- ÔÚÏß: 1501.2Сʱ
- ³æºÅ: 1005450
- ×¢²á: 2010-04-25
- ÐÔ±ð: GG
- רҵ: ÊýѧÎïÀí

4Â¥2011-10-13 19:34:17
xuyx_78
½ð³æ (СÓÐÃûÆø)
- Ó¦Öú: 39 (СѧÉú)
- ½ð±Ò: 1714.5
- ºì»¨: 1
- Ìû×Ó: 176
- ÔÚÏß: 80.3Сʱ
- ³æºÅ: 1385856
- ×¢²á: 2011-09-01
- רҵ: ¼ÆËãÊýѧÓë¿ÆÑ§¹¤³Ì¼ÆËã
¡¾´ð°¸¡¿Ó¦Öú»ØÌû
¡ï ¡ï ¡ï
soliton923(½ð±Ò+3): Õý½â£¡@_@~лл²ÎÓë~~ 2011-10-13 19:39:04
1123580(½ð±Ò+2): Ê®·Ö¸Ðл£¬²»¹ýÇëÎÊÕâ¸ö°ë¾¶pÔõôȡµÄ£¿£¿ 2011-10-15 08:38:57
soliton923(½ð±Ò+3): Õý½â£¡@_@~лл²ÎÓë~~ 2011-10-13 19:39:04
1123580(½ð±Ò+2): Ê®·Ö¸Ðл£¬²»¹ýÇëÎÊÕâ¸ö°ë¾¶pÔõôȡµÄ£¿£¿ 2011-10-15 08:38:57
5Â¥2011-10-13 19:35:57
xuyx_78
½ð³æ (СÓÐÃûÆø)
- Ó¦Öú: 39 (СѧÉú)
- ½ð±Ò: 1714.5
- ºì»¨: 1
- Ìû×Ó: 176
- ÔÚÏß: 80.3Сʱ
- ³æºÅ: 1385856
- ×¢²á: 2011-09-01
- רҵ: ¼ÆËãÊýѧÓë¿ÆÑ§¹¤³Ì¼ÆËã
6Â¥2011-10-15 14:22:27
1123580
ľ³æ (ÕýʽдÊÖ)
- Ó¦Öú: 11 (СѧÉú)
- ½ð±Ò: 3214.7
- É¢½ð: 126
- ºì»¨: 5
- Ìû×Ó: 429
- ÔÚÏß: 222.7Сʱ
- ³æºÅ: 1242014
- ×¢²á: 2011-03-22
- רҵ: ÑÒÍÁÁ¦Ñ§ÓëÑÒÍÁ¹¤³Ì
7Â¥2011-10-16 15:01:34
xuyx_78
½ð³æ (СÓÐÃûÆø)
- Ó¦Öú: 39 (СѧÉú)
- ½ð±Ò: 1714.5
- ºì»¨: 1
- Ìû×Ó: 176
- ÔÚÏß: 80.3Сʱ
- ³æºÅ: 1385856
- ×¢²á: 2011-09-01
- רҵ: ¼ÆËãÊýѧÓë¿ÆÑ§¹¤³Ì¼ÆËã
|
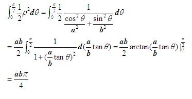
ÄãËã´í¿ÉÄÜÊÇÒòΪÄã°ÑÍÖÔ²µÄ²ÎÊý·½³Ìx=acost,y=bsint¾Í×öΪÍÖÔ²µÄ¼«×ø±ê·½³Ì·½³ÌÁË£¬Çë¿´5Â¥ÎÒ·¢µØ¼ÆËã¹ý³Ì¡£ |
8Â¥2011-10-16 17:30:07
peterflyer
ľ³æÖ®Íõ (ÎÄѧ̩¶·)
peterflyer
- ÊýѧEPI: 10
- Ó¦Öú: 20282 (Ժʿ)
- ½ð±Ò: 146160
- ºì»¨: 1374
- Ìû×Ó: 93091
- ÔÚÏß: 7694.3Сʱ
- ³æºÅ: 1482829
- ×¢²á: 2011-11-08
- ÐÔ±ð: GG
- רҵ: ¹¦ÄÜÌÕ´É
|
½âÌâ¹ý³Ì£º ÎÞÂÛÈçºÎ£¬x=rCos¦È,y=rCos¦ÈÊdzÉÁ¢µÄ¡£ ÔÚ¼«×ø±êϵÄÃæ»ý΢ԪdSΪ: dS=r^2*d¦È/2(Ãæ»ý΢Ԫ°´Èý½ÇÐμÆË㣩£¬ ÍÖÔ²µÄ¼«×ø±ê·½³Ì¿ÉдΪ£º r^2=1/[(Cos¦È/a)^2+(Sin¦È/b)^2] dS=1/2*d¦È/[(Cos¦È/a)^2+(Sin¦È/b)^2] =1/2*d¦È/[Cos¦È/a)^2*{1/[1+(a*tg¦È/b)^2]} =1/2*a*b*a/b*d¦È/[Cos¦È]^2*{1/[1+(a*tg¦È/b)^2]} =1/2*a*b*a/b*dtg¦È*{1/[1+(a*tg¦È/b)^2]} =1/2*a*b*d[a/b*tg¦È]*{1/[1+(a*tg¦È/b)^2]} =1/2*a*b*d[arctg(a*tg¦È/b)] Éè´Ó0µ½¦Ð/2»ý·ÖµÃµ½µÄÃæ»ýΪS¡£ ÔòÍÖÔ°Ãæ»ý=4*S=4*1/2*a*b*arctg(¡Þ)=2*a*b*¦Ð/2=¦Ð*a*b ½âÌâÍê±Ï£¡ |
9Â¥2013-11-06 23:12:19













»Ø¸´´ËÂ¥
10