| 查看: 2612 | 回复: 11 | |||
| 本帖产生 2 个 MolEPI ,点击这里进行查看 | |||
[求助]
将两条单链DNA5‘5’端连接起来以后。。。
|
|||
| 将两条单链DNA5‘5’端连接(非正常的5‘3’连接)起来后,在什么情况下可以派上用场?高手指点一下啊~~ |
» 收录本帖的淘帖专辑推荐
【分子生物】EPI帖 |
» 猜你喜欢
留学--博士招生
已经有16人回复
化学工程,本211,求调剂,ab区不限
已经有4人回复
化学工程及工业化学论文润色/翻译怎么收费?
已经有130人回复
湖北师范大学招调剂啦
已经有7人回复
邵阳学院食品与化学工程学院硕士调剂
已经有0人回复
天津商业大学 生物与医药课题组招生
已经有0人回复
生物化工学硕招收调剂
已经有0人回复
广东石油化工学院2026年硕士研究生需要多名生物,制药工程,食品专业的调剂生
已经有0人回复
317分 一志愿江南大学 化学工程学硕 求调剂
已经有6人回复
化工申博
已经有3人回复
» 本主题相关价值贴推荐,对您同样有帮助:
关于两条DNA单链杂交技术
已经有4人回复
【建议】两人一个国内,一个国外,将来在一块的几率大吗?
已经有62人回复
【专题】PCR实验技术指南
已经有535人回复

红多多
木虫 (正式写手)
版筑饭牛的日子
- MolEPI: 12
- 应助: 0 (幼儿园)
- 金币: 2295.5
- 红花: 7
- 帖子: 340
- 在线: 22.3小时
- 虫号: 303085
- 注册: 2006-12-03
- 专业: 生物化学

2楼2011-10-07 22:34:16

3楼2011-10-08 12:03:19

4楼2011-10-08 12:04:03
红多多
木虫 (正式写手)
版筑饭牛的日子
- MolEPI: 12
- 应助: 0 (幼儿园)
- 金币: 2295.5
- 红花: 7
- 帖子: 340
- 在线: 22.3小时
- 虫号: 303085
- 注册: 2006-12-03
- 专业: 生物化学
【答案】应助回帖
★ ★ ★ ★ ★
wanhscn(金币+2): 鼓励应助! 2011-10-08 13:40:47
1949stone(金币+3): 很好很强大 2011-10-09 10:05:08
1949stone(MolEPI+1): good 2011-10-09 10:05:19
小东的东东(金币+20): 2011-10-09 11:47:42
wanhscn(金币+2): 鼓励应助! 2011-10-08 13:40:47
1949stone(金币+3): 很好很强大 2011-10-09 10:05:08
1949stone(MolEPI+1): good 2011-10-09 10:05:19
小东的东东(金币+20): 2011-10-09 11:47:42
|
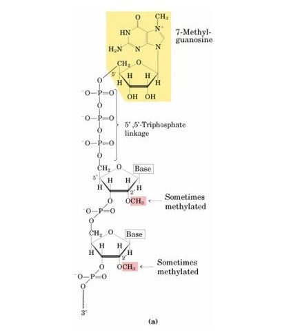
真核生物的mRNA 5’末端大多数都有一个帽子结构,就是连续几个倒扣的7-met C,你可以参考下这种结构,生物体里面的加帽酶应该有这种活性,但是这仅仅对单核苷酸C有效果,对你的两条5'末端单链连接不知有没有效果,不过这个可以对你提出的那种连接方式提供一个理论依据。 |

5楼2011-10-08 12:26:39

6楼2011-10-08 17:11:38
红多多
木虫 (正式写手)
版筑饭牛的日子
- MolEPI: 12
- 应助: 0 (幼儿园)
- 金币: 2295.5
- 红花: 7
- 帖子: 340
- 在线: 22.3小时
- 虫号: 303085
- 注册: 2006-12-03
- 专业: 生物化学

7楼2011-10-08 18:02:03

8楼2011-10-08 19:41:58
西瓜
荣誉版主 (知名作家)
- MolEPI: 50
- 应助: 94 (初中生)
- 贵宾: 3.157
- 金币: 1849.6
- 散金: 11458
- 红花: 116
- 沙发: 21
- 帖子: 7553
- 在线: 1449.5小时
- 虫号: 271749
- 注册: 2006-08-13
- 性别: GG
- 专业: 细胞衰老
- 管辖: 分子生物
【答案】应助回帖
★ ★ ★ ★ ★
dhd997(金币+5, MolEPI+1): 给力 2011-10-09 07:59:59
dhd997(金币+5, MolEPI+1): 给力 2011-10-09 07:59:59
|
google的图片搜索,输入关键词的那个框框右边有个照相机的图标,点击它就可以“按图搜索”了,可以输入图片网址或者上传图片。 搜到2个结果: http://biobar.hbhcgz.cn/Article/ShowArticle.asp?ArticleID=20868 http://www.bbioo.com/lifesciences/34-18894-1.html [ Last edited by 西瓜 on 2011-10-8 at 20:32 ] |
9楼2011-10-08 20:31:04
10楼2011-10-08 21:57:11














回复此楼