| 查看: 3116 | 回复: 10 | ||
[求助]
跪求MS中水合物晶体结构模型的建立思路或CIF文件,频临崩溃啦
|
||
|
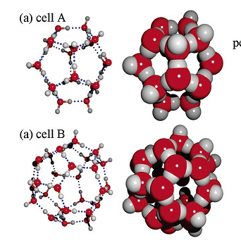
看了文献中水合物的笼状结构想在MS中作出,但是老是处理不好氢原子的方向和氢键的方向,无法作出图中的五边形十二面体。恳请有懂的大哥大姐给小弟的思路,一般这种复杂的模型建立是怎么一个流程。要是有水合物的CIF文件就更好啦:) [img]http://ab/46/1373348_1314345835_909. png[/img] |
» 猜你喜欢
【2026 考研调剂】哈尔滨工程大学核科学与技术学院核化工系 招收调剂生
已经有1人回复
广州大学环境大分子材料研究所2026年研究生招生简章
已经有0人回复
无机化学论文润色/翻译怎么收费?
已经有195人回复
武汉纺织大学技术研究院招收化学、生物、材料、纺织、机械等专业调剂生
已经有0人回复
台州学院有序多孔材料团队化学、材料与化工硕士招生,请速联系!
已经有0人回复
首都师范大学化学系田洋课题组专硕招调剂生
已经有10人回复
广州大学大湾区环境研究院环境大分子材料研究所王平山教授团队 2026年研究生招生简章
已经有0人回复
广州大学大湾区环境研究院环境大分子材料研究所王平山教授团队 2026年研究生招生简章
已经有0人回复
天津理工大学
已经有0人回复
» 本主题相关价值贴推荐,对您同样有帮助:
筛选转基因甘薯时,MS培养基变红是什么原因
已经有12人回复
节日又到,散币祝福大家
已经有1648人回复
新手求助pubcif添加图片问题以及checkcif时的C类和G类问题
已经有8人回复
非均相复合材料可用常见的压缩蠕变力学模型来分析吗
已经有7人回复
低温下测得的晶体,室温取出后,结构是否会发生改变?
已经有14人回复
非常急用,非常急用,谢谢了~~
已经有3人回复
晶体结构优化和画能带图的方法是否保持一致???
已经有12人回复
B类错误,如何解决,必有重谢
已经有11人回复
万分感谢热心的xi2004老师
已经有92人回复
【分享】蓝宝石项目晶体生长技术研究报告-2011
已经有84人回复
ZnO的晶体结构
已经有4人回复
西他原料药的晶体培养
已经有3人回复
【求助】哪里可以找到一种物质的CIF文件呢,画晶体结构需要
已经有18人回复
【求助】请教MS建立晶体结构问题
已经有8人回复
【求助】结晶水与熔点的关系
已经有9人回复
【求助】稀土求助
已经有7人回复
3楼2011-08-28 15:19:23
2楼2011-08-26 16:12:23
4楼2011-08-30 08:35:00
zhangzhengc
木虫 (正式写手)
- 应助: 0 (幼儿园)
- 金币: 4018.2
- 帖子: 321
- 在线: 122.4小时
- 虫号: 927869
- 注册: 2009-12-14
- 专业: 理论和计算化学
5楼2011-10-25 21:53:40
匿名
用户注销 (著名写手)
- 应助: 35 (小学生)
- 金币: 1367.8
- 散金: 2603
- 红花: 10
- 沙发: 5
- 帖子: 1734
- 在线: 359.9小时
- 虫号: 0
- 注册: 2007-11-16
- 性别: GG
- 专业: 金属非晶态、准晶和纳米晶
6楼2012-04-09 10:34:22

7楼2014-09-21 10:48:33
8楼2016-03-09 16:06:52
|
本帖内容被屏蔽 |
9楼2017-03-27 14:58:01
|
本帖内容被屏蔽 |
10楼2017-03-27 15:01:05















回复此楼

5