±±¾©Ê¯ÓÍ»¯¹¤Ñ§Ôº2026ÄêÑо¿ÉúÕÐÉú½ÓÊÕµ÷¼Á¹«¸æ
²é¿´: 528  |  »Ø¸´: 3

ÀÖÀÖ9138

Òø³æ (ÕýʽдÊÖ)

[ÇóÖú] ¡¾ÇóÖú¡¿¹ØÓÚÒ»¸ö¹«Ê½µÄ¼ÆËã

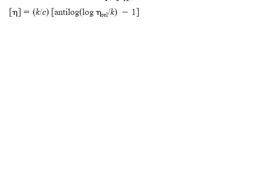
ÎÒ×î½üÔÚ¿´ÃÀ¹úÊÔÑé²ÄÁÏѧ»áµÄһƬÎÄÏ×£¬¶ÔÓÚÆäÖÐÒ»¸ö¼ÆË㹫ʽ²»ÉõÁ˽⣬»¹Çë¸÷λ°ïæ½â´ð£¬Ð»Ð»¡£¹«Ê½ÈçÏ£º
»Ø¸´´ËÂ¥

» ²ÂÄãϲ»¶

» ±¾Ö÷ÌâÏà¹ØÉ̼ÒÍÆ¼ö: (ÎÒÒ²ÒªÔÚÕâÀïÍÆ¹ã)

» ±¾Ö÷ÌâÏà¹Ø¼ÛÖµÌùÍÆ¼ö£¬¶ÔÄúͬÑùÓаïÖú:

²©Ñ§óÆÖ¾£¬¸ñÎïÃ÷µÂ
ÒÑÔÄ   »Ø¸´´ËÂ¥   ¹Ø×¢TA ¸øTA·¢ÏûÏ¢ ËÍTAºì»¨ TAµÄ»ØÌû

ÀÖÀÖ9138

Òø³æ (ÕýʽдÊÖ)

ÎÒµÄÎÊÌâÔÚÓÚ£º¶ÔÊýº¯ÊýûÓе×ÊýÔõô¼ÆË㣿µ«¼ÙÈç¶ÔÊýº¯ÊýÖеÄÕæÊýΪÕû¸ö·ÖÊý£¬ÄÇô·´¶ÔÊýº¯ÊýÔÚÕâÀïÓÖûʲôÒâÒåÁË£¬Êǰɣ¿»¹Çë¸÷λ¸øÓè°ïÖú£¬¸Ð¼¤²»¾¡¡£
²©Ñ§óÆÖ¾£¬¸ñÎïÃ÷µÂ
2Â¥2011-08-24 10:56:30
ÒÑÔÄ   »Ø¸´´ËÂ¥   ¹Ø×¢TA ¸øTA·¢ÏûÏ¢ ËÍTAºì»¨ TAµÄ»ØÌû

just_play

ÖÁ×ðľ³æ (ÕýʽдÊÖ)

¡¾´ð°¸¡¿Ó¦Öú»ØÌû

ÀÖÀÖ9138(½ð±Ò+1): 2011-08-24 14:55:36
log¾ÍÊÇÒÔeΪµ×°É
So Trivial !
3Â¥2011-08-24 12:08:48
ÒÑÔÄ   »Ø¸´´ËÂ¥   ¹Ø×¢TA ¸øTA·¢ÏûÏ¢ ËÍTAºì»¨ TAµÄ»ØÌû

ÀÖÀÖ9138

Òø³æ (ÕýʽдÊÖ)

ln²ÅÊÇÒÔeΪµ×µÄ°¡
²©Ñ§óÆÖ¾£¬¸ñÎïÃ÷µÂ
4Â¥2011-08-24 14:55:27
ÒÑÔÄ   »Ø¸´´ËÂ¥   ¹Ø×¢TA ¸øTA·¢ÏûÏ¢ ËÍTAºì»¨ TAµÄ»ØÌû
Ïà¹Ø°æ¿éÌø×ª ÎÒÒª¶©ÔÄÂ¥Ö÷ ÀÖÀÖ9138 µÄÖ÷Ìâ¸üÐÂ
×î¾ßÈËÆøÈÈÌûÍÆ¼ö [²é¿´È«²¿] ×÷Õß »Ø/¿´ ×îºó·¢±í
[¿¼ÑÐ] Çóµ÷¼Á +8 chenxrlkx 2026-04-05 8/400 2026-04-06 07:59 by Î޼ʵIJÝÔ­
[¿¼ÑÐ] Çóµ÷¼ÁÇóµ÷¼Á +8 121. 2026-04-02 8/400 2026-04-05 20:15 by lys0704
[¿¼ÑÐ] 308Çóµ÷¼Á +4 maverick^_^ 2026-04-03 4/200 2026-04-05 19:08 by À¶ÔÆË¼Óê
[¿¼ÑÐ] µ÷¼Á +3 Àî¹ã»ð 2026-04-05 3/150 2026-04-05 18:57 by À¶ÔÆË¼Óê
[¿¼ÑÐ] ¿¼Ñе÷¼ÁÉúѰÕÒµ¼Ê¦ +3 ¹ËÕ°¿¼Ñа¡ 2026-04-05 3/150 2026-04-05 18:18 by à£à£à£0119
[¿¼ÑÐ] 0817»¯Ñ§¹¤³ÌÓë¼¼ÊõÇóµ÷¼Á£¬Ò»Ö¾Ô¸Öк£Ñó319 +13 lv945 2026-04-04 13/650 2026-04-05 18:14 by Öí»á·É
[¿¼ÑÐ] 348Çóµ÷¼Á +6 wukira 2026-04-04 6/300 2026-04-05 18:11 by Öí»á·É
[¿¼ÑÐ] 313Çóµ÷¼Á +5 º£ÈÕº£ÈÕ 2026-04-04 5/250 2026-04-05 15:52 by jndximd
[¿¼ÑÐ] µ÷¼ÁÇóÖú +10 Ïë»»ÊÖ»ú²»Ïë½âÊ 2026-04-02 13/650 2026-04-05 09:41 by sam3303
[¿¼ÑÐ] 282µç×ÓÐÅÏ¢0854ר˶µ÷¼Á +4 202451007219 2026-04-02 6/300 2026-04-04 21:55 by laoshidan
[¿¼ÑÐ] ÎåÒØ´óѧÍÁľ¹¤³ÌÕе÷¼ÁÉú2026 +3 wyutj 2026-03-31 4/200 2026-04-03 18:21 by zengxj_7201
[»ù½ðÉêÇë] esi¸ß±»ÒýÂÛÎÄÊDz»ÊÇÄܶÔÖбêÓÐËù¼Ó·ÖºÍ°ïÖúÄØ +5 redcom 2026-04-01 6/300 2026-04-03 15:15 by Howard28
[¿¼ÑÐ] 081200-11408-276ѧ˶Çóµ÷¼Á +5 ´Þwj 2026-04-03 5/250 2026-04-03 15:06 by arrow8852
[¿¼ÑÐ] 286Çóµ÷¼Á +7 Faune 2026-03-30 7/350 2026-04-03 10:14 by linyelide
[¿¼ÑÐ] 338Çóµ÷¼Á£¬Ò»Ö¾Ô¸ÄÜÔ´¶¯Á¦£¬ÍâÓïÊÇÈÕÓï203 +5 zzz£¬£¬r 2026-04-02 5/250 2026-04-03 09:45 by À¶ÔÆË¼Óê
[¿¼ÑÐ] Ò»Ö¾Ô¸ÏÃÃÅ´óѧ²ÄÁϹ¤³Ìר˶354ÕÒµ÷¼Á£¡£¡£¡ +8 ±´ß±µ±µ 2026-03-30 8/400 2026-04-03 09:41 by hypershenger
[¿¼ÑÐ] 285Çóµ÷¼Á +14 AZMK 2026-04-02 14/700 2026-04-02 15:54 by ÉϾÅÌìÀ¿Ô£¨ºÃÔ
[¿¼ÑÐ] ¡¾Çóµ÷¼Á¡¿ÐÂÄÜÔ´²ÄÁϱ¾¿Æ£¬Ò»Ö¾Ô¸211£¬³õÊÔ321 +6 Çóµ÷¼ÁѧУ£¬ 2026-04-02 6/300 2026-04-02 09:41 by Çç¿Õ210210
[¿¼ÑÐ] ½­ËտƼ¼´óѧÕвÄÁÏÑо¿Éú +4 Su032713. 2026-04-01 5/250 2026-04-01 22:03 by cccchenso
[¿¼ÑÐ] 085404 22408 315·Ö +5 zhuangyan123 2026-03-31 6/300 2026-03-31 13:48 by limeifeng
ÐÅÏ¢Ìáʾ
ÇëÌî´¦ÀíÒâ¼û