| ²é¿´: 1689 | »Ø¸´: 0 | |
ÀÖÀÖ9138Òø³æ (ÕýʽдÊÖ)
|
[ÇóÖú]
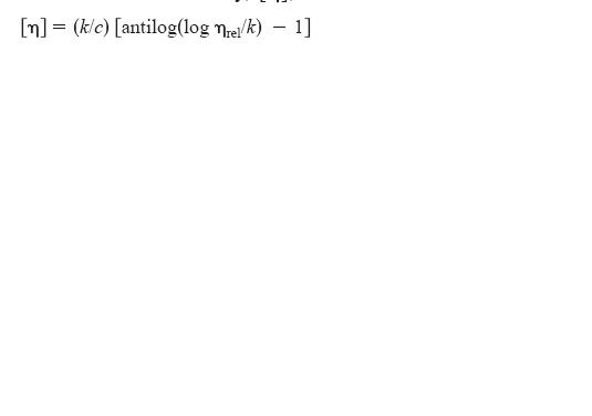
¡¾ÇóÖú¡¿¹ØÓÚÌØÐÔÕ³¶ÈµÄÒ»¸ö¼ÆË㹫ʽ
|
![]() |
|
|
|
|
|
ÕÒµ½Ò»Ð©Ïà¹ØµÄ¾«»ªÌû×Ó£¬Ï£ÍûÓÐÓÃŶ~
¿ÆÑдÓСľ³æ¿ªÊ¼£¬ÈËÈËΪÎÒ£¬ÎÒΪÈËÈË
|














£¬»¹Çë¸÷λ¸øÓè°ïÖú£¬¸Ð¼¤²»¾¡
»Ø¸´´ËÂ¥


µã»÷ÕâÀïËÑË÷¸ü¶àÏà¹Ø×ÊÔ´