| 查看: 1057 | 回复: 1 | ||
[求助]
【求助】一个关于神经网络自由度的问题
|
|
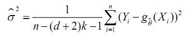
求助,如果已经得到了神经网络的模型(第一个图) 现在用该模型得到的训练样本估计值g与真实值y得到样本方差如图所示(第二个图)。 其中,k为隐藏点的个数,整个(d+2)*k+1就是神经网络的参数个数。 想问一下为什么 ‘n - 参数个数’ 就是计算样本方差的自由度啊? 谁能告诉我这个自由度(即分母)是如何确定的? |
» 猜你喜欢
一志愿北京化工大学材料与化工 264分各科过A区国家线
已经有6人回复
085600 材料与化工 329分求调剂
已经有9人回复
一志愿厦门大学化学学硕307求调剂
已经有3人回复
315分求调剂
已经有4人回复
化学调剂一志愿上海交通大学336分-本科上海211
已经有4人回复
总分293求调剂
已经有7人回复
环境专硕324分求调剂推荐
已经有3人回复
284求调剂
已经有3人回复
北京林业大学硕导招生广告
已经有6人回复
0703化学/290求调剂/本科经历丰富/工科也可
已经有3人回复
» 本主题相关价值贴推荐,对您同样有帮助:
可以用GA或者PSO优化算法把RBF神经网络的中心值,宽度和权值一起训练吗??
已经有8人回复
线性神经网络问题
已经有4人回复
【求助】运用BP神经网络训练材料本构模型的一个问题
已经有12人回复
【求助】关于BP网络的层的问题,寻求帮组,谢谢。
已经有8人回复
2楼2011-08-09 17:13:50













回复此楼
6