| 查看: 1389 | 回复: 1 | |
baseless木虫 (正式写手)
|
[求助]
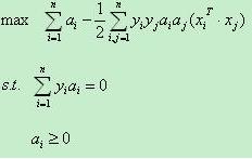
不等式约束条件下的函数极值问题
|
|
|
|
baseless木虫 (正式写手)
|
|
|
2楼2011-07-15 14:00:08
|
|













回复此楼