| 查看: 1870 | 回复: 5 | |||
[求助]
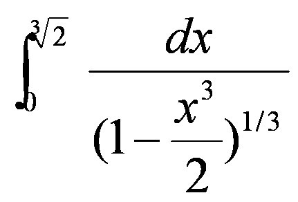
求一定积分的解析解或数值解(数值解则要求给出matlab程序)
|
|
求如下图片中定积分的解析解或数值解(数值解要求给出matlab程序以便验证哦) 特提醒:我本人早知道可以用泰勒展式,但计算麻烦了.应助者给数值解必须给matlab程序才得分哦 [ Last edited by zh09 on 2011-6-26 at 23:32 ] |
» 猜你喜欢
UJN物理学专业调剂
已经有12人回复
北京纳米能源与系统研究所王中林院士/曹南颖研究员课题组招收2026硕士研究生1名
已经有0人回复
物理学I论文润色/翻译怎么收费?
已经有90人回复
山西大同大学物理学硕士研究生招收调剂生
已经有0人回复
[调剂信息]211智能人工感知方向国家青年特聘专家课题组招收调剂研究生
已经有0人回复
[调剂信息]211智能人工感知方向国家青年特聘专家课题组招收调剂研究生
已经有0人回复
[调剂信息]211智能人工感知方向国家青年特聘专家课题组招收调剂研究生
已经有0人回复
一志愿物理所凝聚态物理352求调剂
已经有0人回复
0702一志愿吉大B区求调剂 本科期间发表一篇Sci
已经有2人回复
0702一志愿吉大B区求调剂 本科期间发表一篇Sci
已经有0人回复
» 本主题相关价值贴推荐,对您同样有帮助:
给位大虾有木有数值分析的(杨大地 高教版)课后习题答案解析?
已经有5人回复
单晶衍射数据收集注意事项,注意到了有助于结构解析
已经有24人回复
“数值分析”、“数值解法”等中常出现的“数值”一词是什么意思?
已经有17人回复
我研究BP神经网络,想问下插做数据如何用,起到什么作用,求详解
已经有6人回复
【请教】请教高手,我们菜鸟怎么根据一个已经解析的晶体数据来学习晶体解析?
已经有15人回复
求助解析晶体结构的一些数据含义
已经有2人回复
【求助】急请微分方程高手看下这个方程组!
已经有14人回复
【求助】数值计算和解析计算有什么不同
已经有3人回复
xiaoqing8569
铁杆木虫 (著名写手)
奥林匹亚光学院院长
- 应助: 37 (小学生)
- 金币: 7429.2
- 散金: 2240
- 红花: 14
- 帖子: 1822
- 在线: 696.6小时
- 虫号: 458097
- 注册: 2007-11-13
- 性别: GG
- 专业: 应用光学
2楼2011-06-27 14:32:47
3楼2011-06-28 12:28:11
dbb627
荣誉版主 (著名写手)
-

专家经验: +4 - 计算强帖: 12
- 应助: 289 (大学生)
- 贵宾: 0.589
- 金币: 24640.4
- 散金: 551
- 红花: 61
- 沙发: 1
- 帖子: 1246
- 在线: 1794.8小时
- 虫号: 149791
- 注册: 2005-12-29
- 性别: GG
- 专业: 污染控制化学
- 管辖: 计算模拟

4楼2011-06-29 09:30:33
lilac_c
至尊木虫 (知名作家)
- 应助: 26 (小学生)
- 金币: 20572.5
- 散金: 4751
- 红花: 29
- 帖子: 7420
- 在线: 636.4小时
- 虫号: 1314366
- 注册: 2011-06-03
- 性别: GG
- 专业: 无机材料化学

5楼2011-07-04 01:55:01
6楼2011-07-16 20:40:39














回复此楼