| 查看: 386 | 回复: 2 | |
zzhenkai银虫 (初入文坛)
|
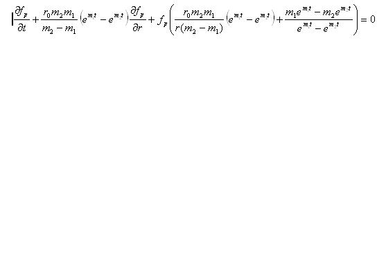
[求助]
求解偏微分方程
|
![]() |
|
|
|
|
13500558820银虫 (文坛精英)
天蓬大元帅——天上人间董事长
|
|
![]() |
|
|
2楼2011-05-27 16:09:46
|
|
lilac_c至尊木虫 (知名作家)
|
|
![]() |
|
|
3楼2011-07-04 03:27:07
|
|













回复此楼
40