±±¾©Ê¯ÓÍ»¯¹¤Ñ§Ôº2026ÄêÑо¿ÉúÕÐÉú½ÓÊÕµ÷¼Á¹«¸æ
²é¿´: 459  |  »Ø¸´: 2

2009v7v

гæ (³õÈëÎÄ̳)

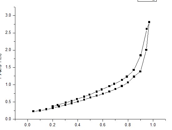
[ÇóÖú] ÕâÑùÎü¸½ÍѸ½±ÕºÏÇúÏßËã±ÕºÏµÄºÃÂ𣬿ÉÓÃÂð

²âµÃµÄÎü¸½ÍѸ½±ÕºÏÇúÏßËã±ÕºÏ£¬²»ÖªµÀÕâÑùËã²»Ëã±ÕºÏµÄºÃ£¬Äܲ»ÄÜÓð¡



»¹ÓÐÁ½¸ö¿×¾¶·Ö²¼·Ö±ðÊÇ3nmºÍ12nm£¬±È±íÃæ»ý»áÒ»Ñù´óÂð£¿

[ Last edited by 2009v7v on 2011-5-26 at 15:19 ]
»Ø¸´´ËÂ¥

» ²ÂÄãϲ»¶

» ±¾Ö÷ÌâÏà¹Ø¼ÛÖµÌùÍÆ¼ö£¬¶ÔÄúͬÑùÓаïÖú:

ÒÑÔÄ   »Ø¸´´ËÂ¥   ¹Ø×¢TA ¸øTA·¢ÏûÏ¢ ËÍTAºì»¨ TAµÄ»ØÌû

zyhou

ר¼Ò¹ËÎÊ (ÎÄ̳¾«Ó¢)

¡¾´ð°¸¡¿Ó¦Öú»ØÌû

2009v7v(½ð±Ò+5): ллÀ² 2011-05-27 15:58:27
²»ºÃ¿´£¬ÓÖºÃÏñûÓÐÎÊÌ⣡¾ÍÊÇÖͺó»·Óе㳤£¡
2Â¥2011-05-26 20:45:33
ÒÑÔÄ   »Ø¸´´ËÂ¥   ¹Ø×¢TA ¸øTA·¢ÏûÏ¢ ËÍTAºì»¨ TAµÄ»ØÌû

xtuanai

½ð³æ (ÕýʽдÊÖ)

¡¾´ð°¸¡¿Ó¦Öú»ØÌû

2009v7v(½ð±Ò+2): ллÀ² 2011-05-27 15:58:51
ÊDZպϵģ¬¿ÉÒÔÓã¡
¿ìÀÖÉú»î£¡
3Â¥2011-05-27 08:13:07
ÒÑÔÄ   »Ø¸´´ËÂ¥   ¹Ø×¢TA ¸øTA·¢ÏûÏ¢ ËÍTAºì»¨ TAµÄ»ØÌû
Ïà¹Ø°æ¿éÌø×ª ÎÒÒª¶©ÔÄÂ¥Ö÷ 2009v7v µÄÖ÷Ìâ¸üÐÂ
×î¾ßÈËÆøÈÈÌûÍÆ¼ö [²é¿´È«²¿] ×÷Õß »Ø/¿´ ×îºó·¢±í
[¿¼ÑÐ] 085601Ò»Ö¾Ô¸±±Àí325·ÖÇóµ÷¼Á +5 ÕÒµ÷¼Á£¬£¬ 2026-04-02 5/250 2026-04-03 21:38 by °ÙÁéͯ888
[¿¼ÑÐ] 353Çóµ÷¼Á +5 MayUxw1 2026-04-03 5/250 2026-04-03 21:17 by à£à£à£0119
[¿¼ÑÐ] 366Çóµ÷¼Á +7 sbdnd 2026-04-03 7/350 2026-04-03 12:40 by cymywx
[¿¼ÑÐ] Çóµ÷¼Á +3 ÐÄÏëÊÂ³É¿É 2026-04-03 3/150 2026-04-03 11:22 by wangjy2002
[¿¼ÑÐ] 085600²ÄÁÏÓ뻯¹¤µ÷¼Á +22 kikiki7 2026-03-30 22/1100 2026-04-03 09:38 by hypershenger
[¿¼²©] É격ÇóÖú +3 Reee1Llll 2026-04-01 3/150 2026-04-02 22:29 by ÕâÊÇÒ»¸öÎÞÁĵÄê
[¿¼ÑÐ] »¯Ñ§070300-×Ü·Ö378-Çóµ÷¼Á +5 ŲÒÎ×ÓµÄÅÝÅÝÌÇ 2026-04-02 5/250 2026-04-02 22:20 by ZXlzxl0425
[¿¼ÑÐ] ¿¼Ñе÷¼Á +3 Àîľ×Ó0120 2026-04-02 5/250 2026-04-02 21:45 by dongzh2009
[¿¼ÑÐ] 294Çóµ÷¼Á +3 Grey_Ey 2026-04-02 5/250 2026-04-02 21:34 by swb0218
[¿¼ÑÐ] ʳƷѧ˶362Çóµ÷¼Á +3 xuanxianxian 2026-04-01 3/150 2026-04-01 21:05 by °¡Àî999
[¿¼ÑÐ] ²ÄÁÏÓ뻯¹¤£¨0856£©304ÇóBÇøµ÷¼Á +8 Çñgl 2026-03-30 16/800 2026-04-01 17:58 by Çñgl
[¿¼ÑÐ] 086502»¯Ñ§¹¤³Ì342Çóµ÷¼Á +7 °¢Ò̸´¹Å²»¹ý 2026-03-27 7/350 2026-04-01 16:14 by yanflower7133
[¿¼ÑÐ] ʡ˫һÁ÷ÖØµãÒ»±¾´óѧÕÐÊÕµ÷¼Á +4 wwwwffffff 2026-03-31 7/350 2026-04-01 15:23 by wwwwffffff
[¿¼ÑÐ] 08¹¤¿Æ£¬295£¬½ÓÊÜ¿çרҵµ÷¼Á +6 lmnlzy 2026-03-31 6/300 2026-04-01 11:02 by ÄæË®³Ë·ç
[¿¼ÑÐ] ¡¾µ÷¼Á¡¿Ò»Ö¾Ô¸ÏôóÉúÎïÓëÒ½Ò©µ÷¼Á +3 EchoϺÃ× 2026-03-31 3/150 2026-04-01 08:40 by JourneyLucky
[¿¼ÑÐ] ºÏ·ÊÇøÓòÐÔÖØµãÒ»±¾ÕÐÊÕµ÷¼Á +4 6266jl 2026-03-30 8/400 2026-03-31 18:43 by 6266jl
[¿¼ÑÐ] 070300»¯Ñ§354Çóµ÷¼Á +15 101´ÎÏ£Íû 2026-03-28 15/750 2026-03-31 17:58 by jp9609
[¿¼ÑÐ] 0703 »¯Ñ§ Çóµ÷¼Á£¬Ò»Ö¾Ô¸É½¶«´óѧ 342 ·Ö +7 Shern¡ª- 2026-03-28 7/350 2026-03-30 16:31 by nothingͶ¸åÖÐ
[¿¼ÑÐ] 085602 »¯Ñ§¹¤³Ìר˶ 340·ÖÇóµ÷¼Á +4 qianbai11 2026-03-29 4/200 2026-03-30 11:34 by ÌÆãå¶ù
[¿¼ÑÐ] 279Çóµ÷¼Á +4 µûÎèÇáÈÆ 2026-03-29 4/200 2026-03-29 09:45 by laoshidan
ÐÅÏ¢Ìáʾ
ÇëÌî´¦ÀíÒâ¼û