| ²é¿´: 541 | »Ø¸´: 2 | ||
yujingschenÌú³æ (ÕýʽдÊÖ)
|
[ÇóÖú]
·´ÏàC18Öù·ÖÎöÑùÆ·³öÏÖÎÊÌâÁË£¿£¿
|
|
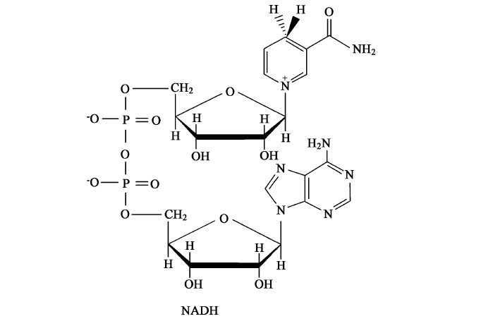
ÒºÏà ±ê׼ƷÓë±ê׼ƷµÄÄÆÑÎ Çë¸÷λ°ï°ïæ·ÖÎöһϣº ÎÒÓ÷´ÏàC18Öù·ÖÎöNADH£¨»¹ÔÐ͸¨Ã¸I£©£¬ÎÒÏÖÔÚÂò²»µ½NADHµÄ±ê׼Ʒ£¬Ö»ÄÜÂòµ½NADH-Na2£¨ÄÆÑÎÐÎʽ£©£¬ÎÒÏëÎʵÄÊÇ£¬ËüÃǶÔ×ßÉ«Æ×ÓÐûÓÐÓ°Ï죬Ö÷ÒªÏë¶ÔNADH¶¨Á¿¡£ Çë´ó¼Ò°ïÎÒ½â´ðһϣ¬·Ç³£¸Ðл£¡ |
» ²ÂÄãϲ»¶
271Çóµ÷¼Á
ÒѾÓÐ17È˻ظ´
344 ²ÄÁÏרҵ Çóµ÷¼Á211 ÎÞµØÓòÒªÇó
ÒѾÓÐ3È˻ظ´
ɽ¶«¸ßУ½Ìʦ¿¼ºË³¬¼¶ÎÞµ×Ïߣ¬Ô±¹¤¹ý²»ÏÂÈ¥À²
ÒѾÓÐ7È˻ظ´
µ÷¼Á
ÒѾÓÐ6È˻ظ´
290Çóµ÷¼Á
ÒѾÓÐ11È˻ظ´
0854µ÷¼Á
ÒѾÓÐ9È˻ظ´
267Çóµ÷¼Á
ÒѾÓÐ8È˻ظ´
²ÄÁÏÓ뻯¹¤300Çóµ÷¼Á
ÒѾÓÐ42È˻ظ´
310Çóµ÷¼Á
ÒѾÓÐ9È˻ظ´
µ÷¼ÁÇóÊÕÁô
ÒѾÓÐ22È˻ظ´
» ±¾Ö÷ÌâÏà¹Ø¼ÛÖµÌùÍÆ¼ö£¬¶ÔÄúͬÑùÓаïÖú:
ºúÂܲ·ËØÒºÏàÌõ¼þ£º°²½ÝÂ×1260·´ÏàC18É«Æ×Öù
ÒѾÓÐ14È˻ظ´
¡¾ÇóÖú¡¿·´ÏàC18²ãÎöÖùÔõÑù×°Öù£¬Ê¹ÓõÄÎÊÌâ
ÒѾÓÐ8È˻ظ´
Çë½Ì£ºÑùÆ·²âÊÔ Öù×ÓÏà¹ØÎÊÌ⣬лл´ó¼ÒÁË¡£¡£¡£
ÒѾÓÐ10È˻ظ´
Öù×Ó¼ì²âÑùÆ·³öÏÖÎÊÌâÁË¡£Çë½Ì£¡£¡£¡
ÒѾÓÐ4È˻ظ´
¡¾ÇóÖú¡¿Öù×ӲⶨÑùÆ·ÎÊÌ⣬Çë½Ì´ó¼Ò£¡
ÒѾÓÐ4È˻ظ´
¡¾ÇóÖú¡¿ÇóÖú·´Ïà¹è½ºÖùÉÏÑùǰÑùÆ·Ô¤´¦Àí
ÒѾÓÐ8È˻ظ´
¡¾ÇóÖú¡¿ÇóÖú£ºÒºÏà ·´ÏàÉ«Æ×ÖùÎÊÌ⣿
ÒѾÓÐ14È˻ظ´
¡¾½»Á÷¡¿É«Æ×ÖùʹÓÃǰעÒâÊÂÏî
ÒѾÓÐ5È˻ظ´
¡¾ÇóÖú¡¿·´ÏàÉ«Æ×Öù·åÐθıä
ÒѾÓÐ9È˻ظ´
yujingschen
Ìú³æ (ÕýʽдÊÖ)
- Ó¦Öú: 0 (Ó×¶ùÔ°)
- ½ð±Ò: 58.3
- É¢½ð: 4
- ºì»¨: 1
- Ìû×Ó: 321
- ÔÚÏß: 36.3Сʱ
- ³æºÅ: 1217641
- ×¢²á: 2011-03-01
- רҵ: É«Æ×·ÖÎö
2Â¥2011-05-20 20:43:15
|
±¾ÌûÄÚÈݱ»ÆÁ±Î |
3Â¥2011-11-05 21:34:49













»Ø¸´´ËÂ¥