| 查看: 1129 | 回复: 10 | ||
| 本帖产生 1 个 博学EPI ,点击这里进行查看 | ||
[求助]
醋酸酐的脱除
|
||
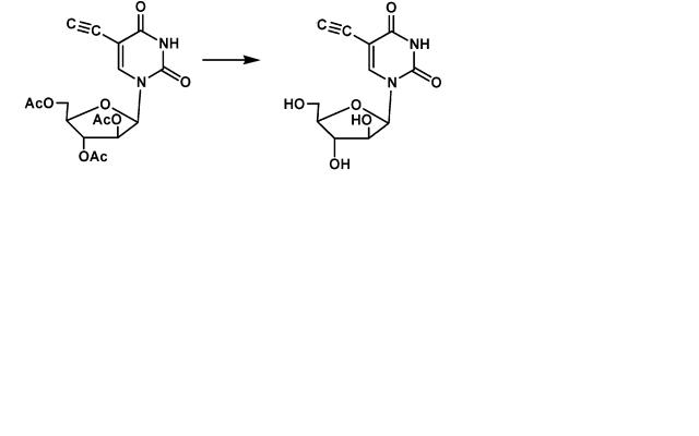
我在做5-炔基尿嘧啶核苷的合成,最后一步拖掉羟基的保护基醋酸酐,文献上是用甲醇甲醇钠脱保护,然后用甲醇二氯甲烷体系过柱提纯,问题是甲醇钠也被过出来了和产物混在一起,怎么除去甲醇钠呀,加水后固体都溶了说明用水分不开。想用乙酸乙酯石油醚体系过柱吧, 极性又太小了,点都爬步起来。郁闷的一坨啊。 请各位大虾支招啊!!脱去保护基醋酸酐还有其它方法吗,有的是在甲醇水体系中加碳酸钾,可以吗? |
» 猜你喜欢
售SCI一区文章,我:8 O5 51O 54,科目齐全
已经有13人回复
售SCI一区文章,我:8 O5 51O 54,科目齐全
已经有14人回复
存款400万可以在学校里躺平吗
已经有30人回复
拟解决的关键科学问题还要不要写
已经有8人回复
最失望的一年
已经有12人回复
求推荐英文EI期刊
已经有5人回复
请教限项目规定
已经有4人回复
国自然申请面上模板最新2026版出了吗?
已经有20人回复
26申博
已经有3人回复
基金委咋了?2026年的指南还没有出来?
已经有10人回复
2楼2011-04-15 10:55:35
3楼2011-04-15 12:58:52
4楼2011-04-15 13:44:35
wanglin7983
木虫 (正式写手)
- 博学EPI: 14
- 应助: 0 (幼儿园)
- 金币: 4270.1
- 红花: 1
- 帖子: 646
- 在线: 327.8小时
- 虫号: 1226605
- 注册: 2011-03-09
- 性别: GG
- 专业: 有机化工

5楼2011-04-15 13:59:12
6楼2011-04-15 15:47:56
7楼2011-04-15 15:51:01
8楼2011-04-28 16:25:37
9楼2011-07-13 08:54:55
10楼2011-08-09 13:35:05













请各位大虾支招啊!!
回复此楼