| 查看: 376 | 回复: 3 | ||
| 本帖产生 1 个 翻译EPI ,点击这里进行查看 | ||
[交流]
就两句话(英语),麻烦大家帮下忙了~
|
||
» 抢金币啦!回帖就可以得到:
多功能 电子微生物生长分析仪 及 微生物快检技术开发服务
+2/140
Postdoctoral Research Fellow Position in Causal Inference Weill CorneIl Medicine
+1/92
结构动力学与结构健康监测方向欧盟玛丽居里全奖博士招聘
+1/78
中国海洋大学与中国水产科学研究院 联合培养 专硕 食品加工与安全
+1/74
坐标浙江宁波,诚征女友
+1/67
香港科技大学计算物理及流体力学课题组招收全奖博士后及博士生(2026年9月入学)
+1/38
深圳大学柔性电子材料方向“申请-考核制”博士生招生
+2/36
南方科技大学物理系夏秀杨课题组招收博士生/博士后 计算与理论软物质/生物物理方向
+1/35
香港城市大学软物质课题组现招收博士研究生 2026.09 入学
+1/34
山东科技大学招聘化学化工博士博士后
+1/26
江西理工大学 稀土学院 稀土功能材料方向 招收2026届博士研究生、硕士研究生
+1/26
新加坡 南洋理工大学- 智能光子/ 传感 PHD 全奖一名 2026 - 8 月入学
+1/24
苏州大学招收申请考核制博士生、博士后(2026)
+1/21
中国科学院深圳先进技术研究院——招聘客座研究生
+3/13
南京医科大学国家级高层次青年人才团队招收博士研究生
+1/11
中国科学院深圳先进技术研究院——招聘博士后
+3/7
《中文期刊点评》这个模块,怎么不能点评期刊了呢自动跳转到主页了
+1/5
复旦大学化学系凡勇教授/张凡教授团队招聘博士后
+1/3
哈工大(深圳)物理招收2026年9月入学博士生1个名额
+1/3
【博士后/科研助理招聘-北京理工大学-集成电路与电子学院-国家杰青团队】
+1/1
2楼2011-03-07 00:22:54
3楼2011-03-07 00:25:33
colorshadow(金币+2, 翻译EPI+1): 2011-03-07 23:53:53
|
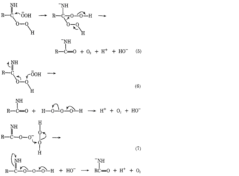
1、Equation5 predicts no scrambling, eq7 predicts complete scrambling, and eq6 predicts 50% scrambling.反应式5 预测没有电子争夺的情形,而反应式 7 就预计完全的电子争夺,而反应式 6 预测有一半电子争夺的情形。 2、we expect that eq7 will increase in importance at the expense of eq5 and 6 at higher pH values 我们预期,当 pH 值较高的时候,反应将越来越主要按反应式 7 进行,并逐渐取代反应式式 5 和 6。 |
4楼2011-03-07 07:46:15













回复此楼