版块导航
正在加载中...
客户端APP下载
论文辅导
调剂小程序
登录
注册
帖子
帖子
用户
本版
应《网络安全法》要求,自2017年10月1日起,未进行实名认证将不得使用互联网跟帖服务。为保障您的帐号能够正常使用,请尽快对帐号进行手机号验证,感谢您的理解与支持!
24小时热门版块排行榜
>
论坛更新日志
(4126)
>
虫友互识
(904)
>
导师招生
(520)
>
文献求助
(466)
>
硕博家园
(184)
>
休闲灌水
(179)
>
考研
(177)
>
考博
(161)
>
博后之家
(107)
>
招聘信息布告栏
(96)
>
教师之家
(84)
>
论文投稿
(70)
>
基金申请
(59)
>
绿色求助(高悬赏)
(51)
>
公派出国
(45)
>
论文道贺祈福
(41)
小木虫论坛-学术科研互动平台
»
材料区
»
晶体
»
测试表征
»
【求助】Xt曲线随温度的下降而下降,到4K突然上升一点,这是什么原因呢
5
1/1
返回列表
查看: 1702 | 回复: 4
只看楼主
@他人
存档
新回复提醒
(忽略)
收藏
在APP中查看
aflymoon
金虫
(小有名气)
应助: 0
(幼儿园)
金币: 1570.5
帖子: 234
在线: 81小时
虫号: 763144
[交流]
【求助】Xt曲线随温度的下降而下降,到4K突然上升一点,这是什么原因呢
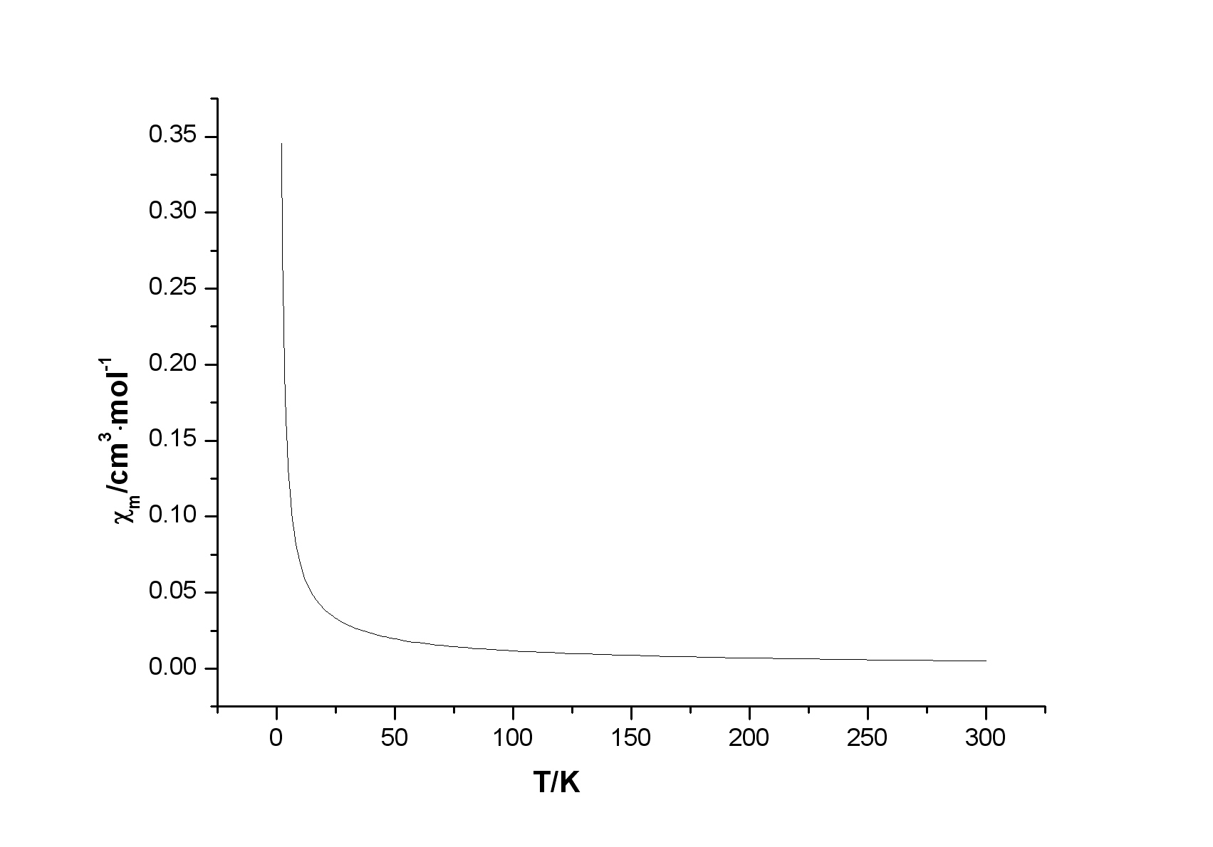
是一个钕的三维配合物
作XT曲线,发现随温度下降一直到4k 都表现出正常的反铁磁,4K之后突然上升一小段,难道变成铁磁性了吗,上升的幅度又那么小。
怎么解释这小段上升呢,有没相似的文献可以参考呢
图形如下
回复此楼
» 猜你喜欢
中南大学易小艺课题组诚招2026申请-考核制博士生
已经有0人回复
海南师范大学招收化学博士(光电功能材料课题组招收博士研究生)
已经有11人回复
无机化学论文润色/翻译怎么收费?
已经有60人回复
求助几个团簇的cif
已经有0人回复
急求该反应的详细机理
已经有5人回复
【Ei | Scopus 双检索】2026年智能交通与未来出行国际会议(CSTFM 2026)
已经有0人回复
【EI|Scopus 双检索】2026年第六届机器人与人工智能国际会议(JCRAI 2026)
已经有0人回复
zotero的advanced material模板没有更新,有人有新版的cls文件吗
已经有2人回复
【高校联合举办】2026年第五届服务机器人国际会议(ICoSR 2026)
已经有0人回复
高级回复
» 本主题相关价值贴推荐,对您同样有帮助:
电流时间曲线疑问?
已经有11人回复
人事到了单位,突然不想去了,请问下怎么改签啊,程序怎么样?
已经有13人回复
极化曲线中自腐蚀电位和腐蚀电流密度的关系
已经有16人回复
原子吸收 标准曲线问题
已经有12人回复
请教碳材料的氮气吸附脱附曲线分析!请各位大神不吝赐教!~~
已经有5人回复
求DSC曲线解释
已经有13人回复
求大牛指教:怎么根据DTA-TG曲线制定烧结制度~
已经有4人回复
请教,锂电放电过程中,电压下降然后再升高最后下降,这是什么原因?谢谢
已经有8人回复
求助:TiO2作为工作电极在三价铁溶液中的循环伏安曲线测试
已经有12人回复
发酵3hOD下降到0.4后不降了,发酵液变澄清,溶氧不变,pH上升,这是什么原因
已经有54人回复
涂料粘度下降原因是什么
已经有9人回复
磷酸铁锂这样的曲线是什么原因
已经有17人回复
热分析 TA曲线 怎么扣空白以后重量应该下降的反而升高了呢?
已经有6人回复
【讨论】很奇怪的能量,温度曲线。
已经有7人回复
【求助】CASTEP计算弹性常数得到应力应变曲线
已经有17人回复
» 抢金币啦!回帖就可以得到:
查看全部散金贴
单曲循环久了很多都会变
+
1
/399
农药产品分析实验人员招聘
+
5
/265
江西景德镇某大学接受调剂:环境科学与工程专业
+
1
/183
【最后机会】深圳大学26级土木工程博士急招
+
5
/160
【全奖博士招生】美国科罗拉多大学科罗拉多斯普林斯分校----固体与结构力学
+
1
/85
26国自然面上,大家是否还写研究方案?
+
1
/84
太原科技大学材料科学与工程学院招收金属材料类博士一名
+
1
/83
澳门理工大学人工智能智慧康养26 年9月入学 博士招生有奖学金
+
1
/33
同济大学 环境科学与工程学院 国家级青年人才团队 诚聘脱产博士后
+
1
/29
深圳理工大学刘鑫课题组高薪招聘博士后
+
1
/18
PostDoc fellowship: Video-Based 3D Human Kinematics Extraction/Pose Esitimation!
+
1
/10
海南大学-国家级人才团队 招2026级全日制硕士研究生
+
1
/8
青岛大学纺织服装学院张宪胜教授招收博士研究生
+
1
/7
大连理工大学智能系统实验室优秀博士研究生招生
+
1
/6
青岛理工大学高端装备健康监测与智能运维团队接受调剂
+
1
/5
哈尔滨工程大学动力学院赵建辉团队招收2026博士研究生
+
1
/5
博士招生
+
1
/3
哈尔滨工程大学动力学院赵建辉团队招收2026博士研究生
+
1
/3
北京理工大学孙林锋教授招收2026年秋季入学博士
+
1
/3
新加坡南洋理工大学- 光电/ 智能传感/ 脑机接口方向 博士后
+
1
/2
1楼
2011-03-04 17:45:56
已阅
回复此楼
关注TA
给TA发消息
送TA红花
TA的回帖
zbdfwq5777
木虫之王
(文学泰斗)
CMEI: 3
应助: 820
(博后)
贵宾: 0.902
金币: 166542
帖子: 126445
在线: 7408.7小时
虫号: 664055
有X-T曲线吗?
回复此楼
2楼
2011-03-04 22:05:11
已阅
回复此楼
关注TA
给TA发消息
送TA红花
TA的回帖
lilacdan
铁杆木虫
(正式写手)
应助: 129
(高中生)
金币: 6808.9
帖子: 965
在线: 361.6小时
虫号: 594143
aflymoon(金币+5): 谢谢交流 2011-03-07 10:11:25
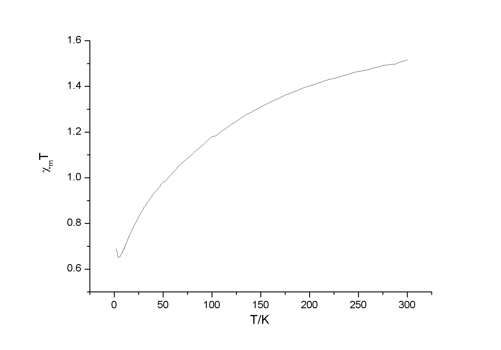
貌似含稀土的都这样,我做的也是这样的,降到最低后又上升了很多。
赞
一下
回复此楼
3楼
2011-03-05 20:03:49
已阅
回复此楼
关注TA
给TA发消息
送TA红花
TA的回帖
aflymoon
金虫
(小有名气)
应助: 0
(幼儿园)
金币: 1570.5
帖子: 234
在线: 81小时
虫号: 763144
引用回帖:
Originally posted by
zbdfwq5777
at 2011-03-04 22:05:11:
有X-T曲线吗?
XT曲线如下
赞
一下
回复此楼
4楼
2011-03-06 19:35:59
已阅
回复此楼
关注TA
给TA发消息
送TA红花
TA的回帖
zbdfwq5777
木虫之王
(文学泰斗)
CMEI: 3
应助: 820
(博后)
贵宾: 0.902
金币: 166542
帖子: 126445
在线: 7408.7小时
虫号: 664055
aflymoon(金币+5): 谢谢交流 2011-03-07 10:12:00
看起来基本是顺磁的
赞
一下
回复此楼
5楼
2011-03-06 20:13:49
已阅
回复此楼
关注TA
给TA发消息
送TA红花
TA的回帖
相关版块跳转
材料综合
材料工程
微米和纳米
晶体
金属
无机非金属
生物材料
功能材料
复合材料
我要订阅楼主
aflymoon
的主题更新
5
1/1
返回列表
如果回帖内容含有宣传信息,请如实选中。否则帐号将被全论坛禁言
普通表情
龙
兔
虎
猫
高级回复
(可上传附件)
百度网盘
|
360云盘
|
千易网盘
|
华为网盘
在新窗口页面中打开自己喜欢的网盘网站,将文件上传后,然后将下载链接复制到帖子内容中就可以了。
信息提示
关闭
请填处理意见
关闭
确定