| 查看: 1813 | 回复: 17 | |||
| 【有奖交流】积极回复本帖子,参与交流,就有机会分得作者 xiegangmai 的 281 个金币 | |||
[交流]
【其他】摆一摆那些对你学习建模仿真有影响的人、物或事
|
|||
沉浸在节日的喜悦气氛中,我们又迎来了新的学期,恭祝每位虫友新年好! [ Last edited by xiegangmai on 2011-2-20 at 15:05 ] |
» 本帖已获得的红花(最新10朵)
» 猜你喜欢
085600材料与化工301分求调剂院校
已经有5人回复
081700,311,求调剂
已经有15人回复
一志愿北京化工085600 310分求调剂
已经有18人回复
材料与化工371求调剂
已经有14人回复
336材料与化工085600求调剂
已经有7人回复
材料334求调剂
已经有18人回复
331求调剂
已经有8人回复
332求调剂
已经有17人回复
一志愿南京航空航天大学 材料与化工329分求调剂
已经有4人回复
材料专硕322
已经有7人回复
» 本主题相关价值贴推荐,对您同样有帮助:
看到PDF的很多奉献一个PDF转WORD软件
已经有130人回复
关于托福报班的一个问题
已经有6人回复
用MS构建羟基磷灰石的模型
已经有3人回复
关于ANSYS在体模型的表面施加面载荷的问题。
已经有9人回复
用ANSYS画2D模型时如何在里面画导流板(即隔板)
已经有5人回复
水分子建模方法
已经有6人回复
求助,已有PDB结构的DS同源建模步骤,谢谢
已经有11人回复
蛋白分子建模 小分子化合物画图 酶与配体的分子模拟
已经有11人回复
DPM模型中颗粒设定的问题
已经有17人回复
FLUENT模拟低层建筑物内压建模问题
已经有5人回复
【交流】关于举办中国大学生材料科学建模仿真竞赛的建议
已经有18人回复
(有链接地址)求《离散事件系统建模与仿真-第二版(王维平,2007)》电子书
已经有7人回复
【求助】DPM模型中液滴数的设定对其直径变化有影响吗
已经有7人回复
【求助】求助,颗粒占空气体积分数由0.4%渐变为27%的模型选择
已经有6人回复
» 抢金币啦!回帖就可以得到:
2026年山东科技大学低碳能源化工实验室招收化工工艺、环境工程硕士调剂信息
+1/181
物理学调剂
+1/98
钠离子电池交流贴
+1/93
江西科技师范大学 材料与能源招收调剂研究生
+1/92
物理学 调剂
+1/91
化学,材料方向研究生调剂
+2/48
浙师大化与材学院2026年有大量硕士研究生调剂名额 (线上 调剂)
+1/43
抗病毒性传染病创新药物全国重点实验室—接收化学、生物、药学、生物与医药调剂考生
+1/23
【硕士调剂】【分子医学 10医类 最后机会】2026年青岛大学硕士调剂补招
+1/21
【博士招生】天津理工大学国家杰青王铁课题组招收2026年博士研究生
+1/8
河南理工大学 化工学院 接收调剂硕士研究生
+1/6
吉林工程技术师范学院 材料与化工 (0856) 招收调剂
+1/6
国外煤层气样品或者煤炭样品求助
+1/5
华北理工大学-材料/化学/化工/环境专业
+1/5
0831生医工调剂本9一志愿北航生医工,338分求调剂
+1/4
调剂招生化学化工(0817、0856)
+1/3
招调剂生
+1/3
苏州科技大学胡老师课题组招2026年硕士生若干名
+1/2
河南城建学院生命科学与工程学院(085700资源与环境方向)有调剂名额
+1/2
山东某双一流院校0857招收调剂
+1/1
2楼2011-02-18 16:41:04
xiegangmai(金币+1): 呵呵,谢谢支持! 2011-02-19 19:37:50
xiegangmai(金币+5): 谢谢参与! 2011-02-22 19:11:29
xiegangmai(金币+5): 谢谢参与! 2011-02-22 19:11:29
|
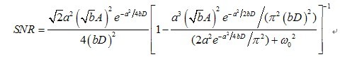
欣闻谢兄举办经验总结活动,特过来捧场,希望能够对大家有所帮助。 我对仿真模拟的概念真正建立于做的第一个关于信号检测的项目,在此之前对仿真模拟的理解仅仅建立于几个实验,觉得仿真模拟无非就是依据模型利用软件点动几下鼠标,然后看看结果与理论吻合就大功告成了。实践证明,我错了,而且错的非常离谱。 错误之一在于没有认识到仿真时用到的模型都是需要我们自己建立的,而认为所有的模型都是现有的,殊不知在非线性、随机、概率、模糊……火热发展的今天,一个精确模型的建立难似登天!不过,现在我们已经可以登上月球了,所以呢登天是不用害怕的,虫友们也不必灰心,只要我们能够充分利用所学的知识,相信建立模型不是难事,只不过需要我们对模型不断的进行改进。 错误之二在于没有充分体会到理论与仿真模拟之间的区别与联系。所谓的理论即我们建立的各种模型,仿真模拟一方面可以帮助我们充分理解已有的理论,另一方面可以验证与修正已有的理论。做信号检测时采用的是随机共振的方法,目前采用随机共振理论提取强噪声背景下的弱信号多是基于绝热近似理论,以信噪比(信号功率与噪声功率的比值,常用对数的形式表述)为衡量依据,在绝热近似条件下,可得双稳态系统输出信噪比公式: 式中A为信号幅值,D为噪声幅值,w0为信号角频率,a、b为参数。取公式中各个参数为: SNR与D的关系图如下图所示: 对于实际信号,当噪声强度趋于零时SNR应为无穷大,而根据绝热近似理论此时的输出信噪比的定性结果是零,显然是不合实际的.这也是绝热近似理论的不足之处.但是依据SNR与D的理论关系,当已知参数a、b时,易确定噪声强度的数值使得系统输出信噪比取得最大值,对强噪声背景下的弱信号的提取具有一定的指导意义。希望以上拙见能够对大家理解仿真与理论之间的关系有所帮助。 错误之三在于没有认识到仿真模拟与实际之间的区别与联系。从错误之一我们都会知道没有任何一个模型可以真实、完美的再现实际对象,就像测量时我们永远无法测得真实值一样。例如,在做一个照明用电流源时,选用的是单端反激式电源的搭建思路,电路图如下: 为使电路具有恒流限压特性,采用电压闭环和电流闭环,电压闭环用分压电阻实现,电流闭环用线性光耦实现,仿真和实际搭建的电路完全一致,仿真结果表明搭建的电路可行,可是当使用示波器观测实际电路中的波形时却发现电压和电流中出现了很大的纹波,仔细核查电路发现原来是在变压器的副端出现了振荡,这种振荡现象在仿真时从未出现过。另外,在调试线性光耦放大电路时结果之诡异让人费解!因变压器是自己亲手绕制,认为不会出现问题。采用各种滤波方式纹波却不为所动,因时间有限,不想再对硬件动刀,在无奈之余不得不修改修改再修改源程序。 寥寥数笔无法言尽仿真模拟的奥妙,希望在此能够抛砖引玉了! [ Last edited by robert2020 on 2011-2-22 at 08:29 ] |
3楼2011-02-19 13:09:00
xiegangmai(金币+1): 你的支持,让我感动,谢谢!我就是想请虫友聊聊建模仿真中的一些事。表达水平有限,凑合着看吧。 2011-02-20 10:02:08
|
本帖内容被屏蔽 |
6楼2011-02-19 14:05:06
8楼2011-02-20 11:06:00
9楼2011-02-20 11:24:42
10楼2011-02-20 23:19:04
11楼2011-02-21 15:09:53
12楼2011-02-24 13:04:53
13楼2011-02-24 14:23:55
14楼2011-02-24 14:35:48
15楼2011-02-28 21:53:44
16楼2011-03-11 22:12:08
17楼2012-08-28 20:24:41
简单回复
2011-02-19 13:18
回复
xiegangmai(金币+1): 你的支持,让我感动,谢谢! 2011-02-20 10:00:40

xhmaohan5楼
2011-02-19 13:40
回复
xiegangmai(金币+1): 你的支持,让我感动,谢谢! 2011-02-20 10:01:02
2011-02-20 10:38
回复
xiegangmai(金币+1): 你的支持,让我感动,谢谢!以下发纯表不再发金币。 2011-02-20 15:03:37


scorpiosag18楼
2012-08-28 21:47
回复





















回复此楼
不见我的天空
