版块导航
正在加载中...
客户端APP下载
登录
注册
帖子
帖子
用户
本版
应《网络安全法》要求,自2017年10月1日起,未进行实名认证将不得使用互联网跟帖服务。为保障您的帐号能够正常使用,请尽快对帐号进行手机号验证,感谢您的理解与支持!
24小时热门版块排行榜
>
论坛更新日志
(3068)
>
文献求助
(232)
>
考博
(230)
>
导师招生
(171)
>
基金申请
(130)
>
虫友互识
(99)
>
硕博家园
(85)
>
休闲灌水
(74)
>
招聘信息布告栏
(55)
>
攻关文献(高奖励)
(43)
>
仿真模拟
(38)
>
博后之家
(24)
>
论文投稿
(22)
>
教师之家
(21)
>
论文道贺祈福
(20)
>
公派出国
(20)
小木虫论坛-学术科研互动平台
»
专业学科区
»
物理
»
统计、非线性&软物质
»
【求助】对二阶双曲线偏微分方程求解,具体题目见帖子
2
1/1
返回列表
查看: 899 | 回复: 1
只看楼主
@他人
存档
新回复提醒
(忽略)
收藏
在APP中查看
hitlost
铜虫
(小有名气)
应助: 0
(幼儿园)
金币: 113.7
帖子: 126
在线: 38.3小时
虫号: 919916
[交流]
【求助】对二阶双曲线偏微分方程求解,具体题目见帖子
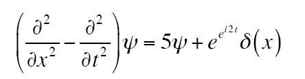
由图中偏微分方程求 fi, 无边界条件
请问除了迭代这题有没有其它解法,谢谢
[
Last edited by hitlost on 2011-2-10 at 13:03
]
回复此楼
» 猜你喜欢
导师各种操作恶心咋办
已经有5人回复
2026年申博-电池方向
已经有6人回复
2026博士申请求助
已经有5人回复
26年博士申请自荐-电催化
已经有9人回复
研究生做的很差,你们会让毕业吗?
已经有11人回复
求碳排放博导;方向是LCA、生命周期可持续发展以及碳排放
已经有7人回复
2026博士或科研助理转27年博士
已经有7人回复
急招2026年9月份入学博士
已经有3人回复
国自科送审了吗
已经有11人回复
博士招生
已经有5人回复
高级回复
» 本主题相关价值贴推荐,对您同样有帮助:
求助 一阶线性偏微分方程 拉格朗日法求解
已经有6人回复
关于鼓励应助的奖励办法征集意见
已经有13人回复
急,请大家帮忙看看这个审稿意见,困惑.......
已经有13人回复
Matlab求解偏微分方程组
已经有22人回复
【求助】怎么计算二阶的偏微分方程
已经有7人回复
【求助】如何求解下列偏微分方程
已经有13人回复
我3年的申请意见,供暂时未成功的虫子参考,祝福大家!
已经有51人回复
» 抢金币啦!回帖就可以得到:
查看全部散金贴
湖南大学化工院招收2026年入学博士
+
1
/174
昆明理工大学交通载运车辆方向招收2026年秋季入学博士生2名
+
3
/159
安徽农业大学,农业工程专业博士研究生招生
+
2
/104
苏州科技大学国家高层次青年人才团队诚聘副教授/讲师(事业编)和科研助理数名
+
1
/85
河南师范大学水产学院博士研究生招生
+
1
/82
招聘科研助理
+
1
/76
山东中医药大学2026年申请审核制博士研究生招聘
+
1
/43
上海大学先进耐火材料团队招收博士研究生多名
+
1
/34
2026年江西师范大学药学院陈芬儿院士课题组招收智能药学博士生
+
1
/33
北京航空航天大学拟招收2026博士研究生
+
1
/32
松山湖材料实验室-大连理工大学联合招收博士研究生
+
1
/30
暨南大学中医学院邓力课题组博士后招聘【中西医结合/交叉学科方向】
+
1
/14
中国科学院深圳先进院成会明院士—王锋项目高级工程师诚聘博士后(医用分离膜方向)
+
1
/10
英国大学招收电子散热及数字孪生研究方向的博士生
+
1
/8
东北林业大学(211、双一流)招收高分子、化学、林业工程、生物质材料等方向博士生
+
1
/6
大连海事大学海上智能交通研究团队招收博士研究生(26年9月入学)
+
1
/6
试遍所有AI写作工具,最终锁定这个组合 Prose + DeepSeek V4 Pro
+
1
/4
UIO-66-NH2/RGO如何碳化,求助!!!!!
+
1
/3
南京大学医学院医学数字孪生方向博士后招聘
+
1
/2
南京大学医学院附属鼓楼医院院士团队招聘博士后、科研助理
+
1
/1
1楼
2011-02-10 12:46:57
已阅
回复此楼
关注TA
给TA发消息
送TA红花
TA的回帖
shiweidong12
木虫
(正式写手)
应助: 0
(幼儿园)
金币: 4617.4
帖子: 644
在线: 203.2小时
虫号: 1288148
★
小木虫(金币
+0.5
):给个红包,谢谢回帖
差分方法不妨试一试。
赞
一下
(1人)
回复此楼
2楼
2011-05-17 16:40:45
已阅
回复此楼
关注TA
给TA发消息
送TA红花
TA的回帖
相关版块跳转
数理科学综合
机械
物理
数学
农林
食品
地学
能源
信息科学
土木建筑
航空航天
转基因
我要订阅楼主
hitlost
的主题更新
2
1/1
返回列表
如果回帖内容含有宣传信息,请如实选中。否则帐号将被全论坛禁言
普通表情
龙
兔
虎
猫
高级回复
(可上传附件)
百度网盘
|
360云盘
|
千易网盘
|
华为网盘
在新窗口页面中打开自己喜欢的网盘网站,将文件上传后,然后将下载链接复制到帖子内容中就可以了。
信息提示
关闭
请填处理意见
关闭
确定