| 查看: 181 | 回复: 2 | ||
[交流]
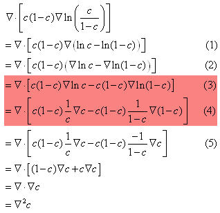
【求助】达人帮忙看看式子(2)是怎么导出的
|
» 抢金币啦!回帖就可以得到:
南京都市圈高校大龄离异博士征友
+2/570
上海海洋大学与中国水产科学研究院 联合培养 学术型研究生 食品科学与工程专业
+1/82
北京理工大学计算材料化学课题组招聘2026年博士生/博后
+3/81
天津大学化学系吴立朋课题组申请考核制博士招生/博后招聘
+1/80
宁波大学招聘科研助理1-2名
+1/52
重庆大学杰青团队诚招2026年博士研究生
+2/36
有没有在ITO或者FTO玻璃上做好的CdS薄膜购买?
+1/31
中国中化 下设二级全资公司 中国化工橡胶有限公司 2025-2026年度校招秋招补录开始啦~
+1/28
国家青年人才叶立群教授课题组招收2026级博士研究生
+1/24
人到中年,还能干啥
+1/18
招收2026级博士
+1/8
中科院苏州医工所单细胞分析技术中心招聘公告(细胞分选、图像识别、流式应用方向)
+1/8
中国地质大学(武汉)新能源学院地下工程防灾减灾与储能团队招聘科研助理
+1/7
中科院精密测量院(原武汉物数所)诚招磁共振成像方向申请考核制博士(2026.1.9截止)
+1/5
西交利物浦大学/氮化镓基 CMOS 技术的物理驱动与人工智能增强方法/招博士研究生
+1/5
浙江大学徐腾飞研究员招聘环境污染与健康、组学分析、生信、模拟计算等背景博士后
+1/4
诚邀博士后合作研究人员
+1/3
澳门大学 应用物理及材料工程研究院 孙国星课题组招收博士(2026/2027学年)
+1/3
北京师范大学与企业联合招聘博士后、全职、兼职人员
+1/3
浙江大学徐腾飞研究员招聘代谢组学、蛋白组学、生物信息学、环境科学、模拟计算等背景
+1/1
2楼2011-01-14 09:01:55
3楼2011-01-14 10:15:43













回复此楼