| 查看: 1999 | 回复: 3 | |||
[求助]
N2吸附等温线分析 已有1人参与
|
|
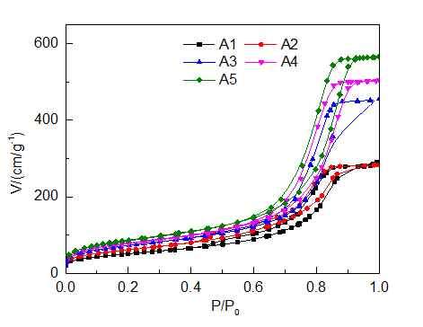
用硅胶和硝酸铝制备不同硅铝比的硅铝复合氧化物其N2吸脱附等温线如附图1所示,孔的类型是介孔吗?孔的数量算多还是算少?高压处越高说明什么?希望懂得这方面的大神帮忙分析一下,可以的话也帮忙分析一下图2,非常感谢~ 发自小木虫Android客户端 |
» 猜你喜欢
数二 英语一,求调剂,本科学校福建农林大学
已经有1人回复
大连工业大学招硕士研究生
已经有0人回复
专业论文润色/翻译怎么收费?
已经有282人回复
关于研究生调剂的些许建议
已经有1人回复
辽宁:大连工业大学,文字为导师详细信息,图片为团队介绍,欢迎报名
已经有0人回复
武汉轻工大学化环学院招收调剂
已经有6人回复
武汉轻工大学化环学院招调剂
已经有0人回复
塑料油分析测试
已经有1人回复
大连工业大学招硕士研究生
已经有0人回复
武汉纺织大学招收化学化工类和材料类研究生调剂生若干名
已经有3人回复
» 本主题相关价值贴推荐,对您同样有帮助:
如何对已知的N2吸附等温线数据采用NLDFT求孔径分布
已经有5人回复
N2吸附脱吸附等温曲线及BET,BJH测介孔材料结果分析求助
已经有4人回复
氮气(N2)吸附脱附等温线和孔径分布图,求分析~~
已经有3人回复
急求!N2等温吸附-脱附曲线问题
已经有2人回复
关于N2-吸附脱附等温线的类型分析 感激不尽
已经有1人回复
关于N2-吸附脱附等温线的类型
已经有1人回复
N2吸附脱附曲线分析~
已经有1人回复
如何对已知的N2吸附等温线数据采用DFT求孔径分布
已经有2人回复
N2吸附脱附等温曲线图分析
已经有6人回复
求助分析吸附等温线和孔径分布的资料,谢谢!
已经有0人回复
N2吸附脱附等温线
已经有1人回复
求助分析N2吸附等温线与BJH孔径分布曲线
已经有0人回复
N2吸附脱附曲线做出来了,不知道属于何种等温线及何种回滞环
已经有12人回复
N2吸附-脱附等温线
已经有1人回复
N2吸附脱附等温线和孔径分析
已经有2人回复
这个N2吸附解吸等温曲线,说明什么问题?
已经有7人回复
介晶TiO2的N2吸附解吸等温曲线,两个滞后环,这个怎么分析呀,急用
已经有18人回复
N2吸附-脱附分析数据
已经有4人回复
帮我分析一下N2吸附数据
已经有13人回复
请教,N2吸附等温线和孔径分布分析
已经有2人回复
SEM N2吸附、脱附数据分析
已经有2人回复
求助:帮我分析一下N2脱附-吸附等温线和相应的BJH孔径分布【紧急】
已经有5人回复
【求助】微孔二氧化硅材料N2吸附等温线有下降的趋势,为什么?
已经有12人回复
【求助】N2吸附微孔容积分析
已经有3人回复
zyhou
无虫
-

专家经验: +3748 - C-EPI: 74
- 应助: 4970 (副教授)
- 贵宾: 2.947
- 金币: 39396.7
- 散金: 14624
- 红花: 415
- 帖子: 10637
- 在线: 2546.4小时
- 虫号: 373328
- 注册: 2007-05-16
- 性别: GG
- 专业: 催化化学
- 管辖: 催化
2楼2017-06-06 15:42:14
白水山石
禁虫
- 应助: 231 (大学生)
- 金币: 9364.8
- 散金: 1378
- 红花: 49
- 帖子: 2774
- 在线: 312.2小时
- 虫号: 951210
- 注册: 2010-02-02
- 性别: GG
- 专业: 材料物理化学
【答案】应助回帖
★ ★ ★
温心若水: 金币+3, 应助指数+1, 谢谢应助 2017-06-07 08:17:53
温心若水: 金币+3, 应助指数+1, 谢谢应助 2017-06-07 08:17:53
|
A:从1到5比表面积逐渐增大,孔容提高;从滞后环看介孔的规整度提高,但孔径逐步减小。结晶度应该提高了,XRD应可以说明问题。B:从1到5比表面逐渐减小(2有点意外),而且从比表面积和孔容大小看,其结晶度较低。后面的几个基本上是无孔的。1和2应有少部分的孔,但不会规整。 发自小木虫IOS客户端 |
3楼2017-06-06 19:42:59
knowles
兑换贵宾
![]()
![]()
![]()
![]()
- 应助: 27 (小学生)
- 金币: 4001.7
- 红花: 2
- 帖子: 1274
- 在线: 113.9小时
- 虫号: 93217
- 注册: 2005-09-13
- 性别: GG
- 专业: 天然有机化学
【答案】应助回帖
★ ★
温心若水: 金币+2, 应助指数+1, 谢谢应助,辛苦! 2017-06-07 08:18:06
温心若水: 金币+2, 应助指数+1, 谢谢应助,辛苦! 2017-06-07 08:18:06
|
介孔的数量不多,在0.4~0.6之间突跃较大表明介孔较多 0.8以上突跃是颗粒间或大孔吸附 发自小木虫Android客户端 |
4楼2017-06-06 22:55:56














回复此楼