| 查看: 2800 | 回复: 10 | ||
学海无涯66新虫 (小有名气)
|
[求助]
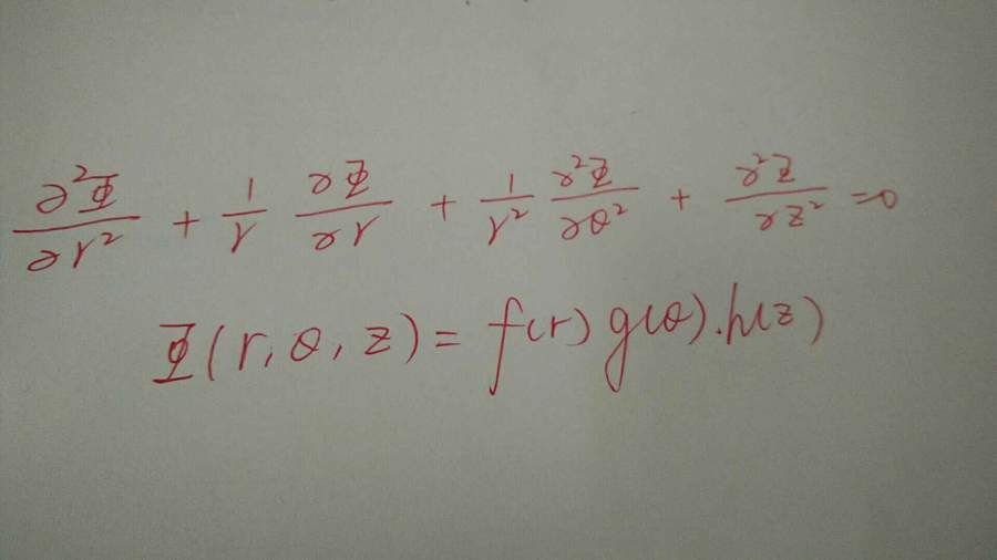
三维二阶偏微分方程的求解 已有3人参与
|
|
|
用分离变量法来求此偏微分方程的通解,请各位大牛帮帮忙,小弟实在是不太会解。由于刚使用小木虫,所以金币不多,望见谅 @laosam280 发自小木虫Android客户端 |
» 猜你喜欢
求调剂
已经有3人回复
265求调剂
已经有4人回复
085700资源与环境308求调剂
已经有6人回复
一志愿吉林大学材料学硕321求调剂
已经有12人回复
286分人工智能专业请求调剂愿意跨考!
已经有3人回复
329求调剂
已经有5人回复
申请回稿延期一个月,编辑同意了。但系统上的时间没变,给编辑又写邮件了,没回复
已经有4人回复
材料学硕318求调剂
已经有5人回复
一志愿中国海洋大学,生物学,301分,求调剂
已经有6人回复
081700化工学硕调剂
已经有3人回复
» 本主题相关价值贴推荐,对您同样有帮助:
2015年国家自然科学基金海南大学资助项目
已经有37人回复
2011年博士点基金联合资助课题立项公布
已经有3人回复
山东省基金,山东大学获资助名单,恭喜
已经有54人回复
夜策冷
铁杆木虫 (知名作家)
- 应助: 10 (幼儿园)
- 贵宾: 0.011
- 金币: 5850.9
- 散金: 200
- 红花: 140
- 沙发: 33
- 帖子: 5298
- 在线: 1616.9小时
- 虫号: 3498749
- 注册: 2014-10-26
- 专业: 数理统计
3楼2017-04-15 08:07:15
peterflyer
木虫之王 (文学泰斗)
peterflyer
- 数学EPI: 10
- 应助: 20282 (院士)
- 金币: 146160
- 红花: 1374
- 帖子: 93091
- 在线: 7694.3小时
- 虫号: 1482829
- 注册: 2011-11-08
- 性别: GG
- 专业: 功能陶瓷
2楼2017-04-14 16:44:48
纳米材料753
木虫之王 (文学泰斗)
光岳之巅
- 应助: 809 (博后)
- 金币: 118854
- 散金: 110
- 红花: 100
- 沙发: 7
- 帖子: 95995
- 在线: 5183.5小时
- 虫号: 526529
- 注册: 2008-03-16
- 性别: GG
- 专业: 光学

5楼2017-04-15 09:02:37
夜策冷
铁杆木虫 (知名作家)
- 应助: 10 (幼儿园)
- 贵宾: 0.011
- 金币: 5850.9
- 散金: 200
- 红花: 140
- 沙发: 33
- 帖子: 5298
- 在线: 1616.9小时
- 虫号: 3498749
- 注册: 2014-10-26
- 专业: 数理统计
4楼2017-04-15 08:08:21
学海无涯66
新虫 (小有名气)
- 应助: 0 (幼儿园)
- 金币: 648.8
- 散金: 18
- 帖子: 79
- 在线: 14.1小时
- 虫号: 5442197
- 注册: 2017-01-04
- 专业: 信号理论与信号处理
6楼2017-04-16 23:21:34
学海无涯66
新虫 (小有名气)
- 应助: 0 (幼儿园)
- 金币: 648.8
- 散金: 18
- 帖子: 79
- 在线: 14.1小时
- 虫号: 5442197
- 注册: 2017-01-04
- 专业: 信号理论与信号处理
7楼2017-04-16 23:25:28
学海无涯66
新虫 (小有名气)
- 应助: 0 (幼儿园)
- 金币: 648.8
- 散金: 18
- 帖子: 79
- 在线: 14.1小时
- 虫号: 5442197
- 注册: 2017-01-04
- 专业: 信号理论与信号处理
8楼2017-04-17 10:13:41
学海无涯66
新虫 (小有名气)
- 应助: 0 (幼儿园)
- 金币: 648.8
- 散金: 18
- 帖子: 79
- 在线: 14.1小时
- 虫号: 5442197
- 注册: 2017-01-04
- 专业: 信号理论与信号处理
9楼2017-04-17 10:16:39
10楼2017-04-17 11:54:27













回复此楼
学海无涯66
50