版块导航
正在加载中...
客户端APP下载
登录
注册
帖子
帖子
用户
本版
应《网络安全法》要求,自2017年10月1日起,未进行实名认证将不得使用互联网跟帖服务。为保障您的帐号能够正常使用,请尽快对帐号进行手机号验证,感谢您的理解与支持!
24小时热门版块排行榜
>
论坛更新日志
(2678)
>
文献求助
(206)
>
虫友互识
(195)
>
导师招生
(128)
>
论文投稿
(89)
>
休闲灌水
(89)
>
仿真模拟
(63)
>
考博
(57)
>
基金申请
(40)
>
硕博家园
(33)
>
博后之家
(30)
>
找工作
(22)
>
招聘信息布告栏
(21)
>
考研
(20)
>
绿色求助(高悬赏)
(19)
>
公派出国
(19)
小木虫论坛-学术科研互动平台
»
化学化工区
»
无机/物化
»
无机化学
»
标准生成平衡常数
11
1/2
返回列表
1
2
下一页
查看: 1199 | 回复: 10
只看楼主
@他人
存档
新回复提醒
(忽略)
收藏
在APP中查看
小淘丫
新虫
(小有名气)
应助: 0
(幼儿园)
金币: 137.2
散金: 140
红花: 2
帖子: 212
在线: 35.6小时
虫号: 5218522
注册: 2016-11-09
专业: 有机合成
[
求助
]
标准生成平衡常数
求助大神,什么是标准生成平衡常数??,我算的对吗,感谢
发自小木虫Android客户端
回复此楼
» 猜你喜欢
湖南工业大学周贵寅组招生物医学工程(学硕07、08都行)和生物与医药(专硕08)硕士生
已经有0人回复
考研求调剂
已经有0人回复
有机高分子材料论文润色/翻译怎么收费?
已经有126人回复
2026年中南民族大学化学与材料科学学院调剂公告
已经有40人回复
武汉纺织大学招生物材料、化学、高分子相关专业硕士生
已经有0人回复
武汉纺织大学招生物材料、化学、高分子相关专业硕士生-另有少量士兵计划可咨询
已经有0人回复
[武汉纺织大学]材料学院[姜伟团队名称]课题组-2026年硕士研究生调剂信息
已经有0人回复
中国科学院·过程工程研究所·招聘海内外高层次人才---过程所“百人计划”
已经有1人回复
中国科学院·过程工程研究所·招聘海内外高层次人才---过程所“百人计划”
已经有5人回复
2026考博自荐
已经有4人回复
温敏水凝胶收缩
已经有0人回复
» 本主题相关价值贴推荐,对您同样有帮助:
钢铁冶金原理 (黄希祜编 2002年出版 第3版),冶金专业书籍
已经有138人回复
电极反应的反应物和产物互换,他的标准电极电势不变,那它的标准平衡常数变吗?
已经有8人回复
常见合成气的生成方法
已经有12人回复
请大家解惑。好心人帮忙看看,谢谢了!
已经有2人回复
求助 平衡常数的问题
已经有8人回复
甲烷菌文献摘抄
已经有18人回复
关于物化两道题的问题,求讲解。
已经有4人回复
注册化工工程师2011年案例
已经有43人回复
求助吉布斯自由能的确定
已经有6人回复
物化的一个例题,来自教材
已经有7人回复
氧化还原反应中反应方向和平衡常数的问题
已经有4人回复
【分享】北京大学1997/1998年考研试题(还有很多,有需要的联系我)
已经有1人回复
【分享】北京大学1994考研试题(还有很多,有需要的联系我)
已经有3人回复
【分享】北京大学1992考研试题(还有很多,有需要的联系我)
已经有2人回复
【分享】北京大学1991考研试题(还有很多,有需要的联系我)
已经有1人回复
复旦2010年物理化学试卷
已经有11人回复
固体超强酸
已经有48人回复
《化工流程模拟》(ChemStations ChemCAD v6.0.1)[ISO]【新鲜出炉】
已经有14人回复
1楼
2016-11-11 19:41:48
已阅
回复此楼
关注TA
给TA发消息
送TA红花
TA的回帖
gbs5910
至尊木虫
(职业作家)
应助: 85
(初中生)
金币: 20322.4
散金: 306
红花: 8
帖子: 4696
在线: 271小时
虫号: 117635
注册: 2005-11-26
性别: GG
专业: 有机合成
是配合物离子的标准生成平衡常数
发自小木虫Android客户端
赞
一下
回复此楼
东边日出西边雨,导师无情我有情。
2楼
2016-11-11 22:56:04
已阅
回复此楼
关注TA
给TA发消息
送TA红花
TA的回帖
小淘丫
新虫
(小有名气)
应助: 0
(幼儿园)
金币: 137.2
散金: 140
红花: 2
帖子: 212
在线: 35.6小时
虫号: 5218522
注册: 2016-11-09
专业: 有机合成
引用回帖:
2楼
:
Originally posted by
gbs5910
at 2016-11-11 22:56:04
是配合物离子的标准生成平衡常数
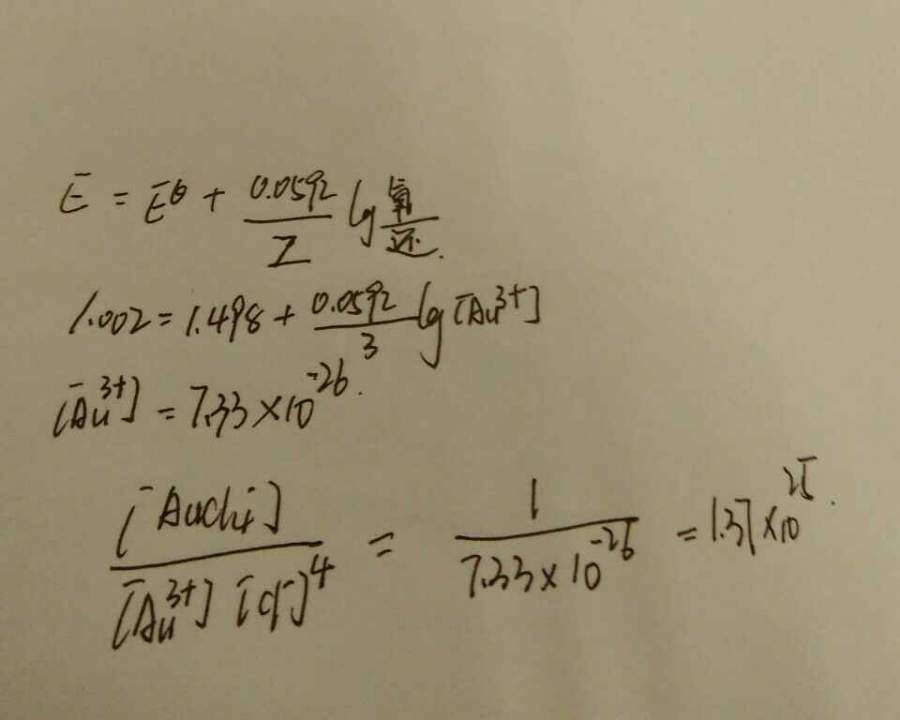
我理解的“标准生成”这一概念,应该是从最稳定的单质开始,但是这道题好像不是了,因为那样就无法计算了,那我算的对吗,
发自小木虫Android客户端
赞
一下
回复此楼
3楼
2016-11-12 07:24:18
已阅
回复此楼
关注TA
给TA发消息
送TA红花
TA的回帖
我想更懂你29
专家顾问
(文坛精英)
专家经验: +1066
ICEPI: 8
应助: 2668
(讲师)
贵宾: 0.483
金币: 86670
散金: 87
红花: 449
帖子: 11172
在线: 7876.8小时
虫号: 2622604
注册: 2013-08-29
性别: GG
专业: 原子簇化学
管辖:
无机/物化
引用回帖:
3楼
:
Originally posted by
小淘丫
at 2016-11-12 07:24:18
我理解的“标准生成”这一概念,应该是从最稳定的单质开始,但是这道题好像不是了,因为那样就无法计算了,那我算的对吗,
...
贴原题
发自小木虫Android客户端
回复此楼
以大多数人的努力程度,还轮不到去拼天赋的地步
4楼
2016-11-12 08:28:06
已阅
回复此楼
关注TA
给TA发消息
送TA红花
TA的回帖
小淘丫
新虫
(小有名气)
应助: 0
(幼儿园)
金币: 137.2
散金: 140
红花: 2
帖子: 212
在线: 35.6小时
虫号: 5218522
注册: 2016-11-09
专业: 有机合成
引用回帖:
4楼
:
Originally posted by
我想更懂你29
at 2016-11-12 08:28:06
贴原题
...
如下
发自小木虫Android客户端
赞
一下
回复此楼
5楼
2016-11-12 08:33:50
已阅
回复此楼
关注TA
给TA发消息
送TA红花
TA的回帖
gbs5910
至尊木虫
(职业作家)
应助: 85
(初中生)
金币: 20322.4
散金: 306
红花: 8
帖子: 4696
在线: 271小时
虫号: 117635
注册: 2005-11-26
性别: GG
专业: 有机合成
这就是配合物的标准生成平衡常数
发自小木虫Android客户端
赞
一下
回复此楼
东边日出西边雨,导师无情我有情。
6楼
2016-11-12 08:43:24
已阅
回复此楼
关注TA
给TA发消息
送TA红花
TA的回帖
小淘丫
新虫
(小有名气)
应助: 0
(幼儿园)
金币: 137.2
散金: 140
红花: 2
帖子: 212
在线: 35.6小时
虫号: 5218522
注册: 2016-11-09
专业: 有机合成
引用回帖:
6楼
:
Originally posted by
gbs5910
at 2016-11-12 08:43:24
这就是配合物的标准生成平衡常数
谢谢
发自小木虫Android客户端
回复此楼
7楼
2016-11-12 08:50:13
已阅
回复此楼
关注TA
给TA发消息
送TA红花
TA的回帖
gbs5910
至尊木虫
(职业作家)
应助: 85
(初中生)
金币: 20322.4
散金: 306
红花: 8
帖子: 4696
在线: 271小时
虫号: 117635
注册: 2005-11-26
性别: GG
专业: 有机合成
【答案】应助回帖
★ ★
冰点降温: 金币+2, 应助指数+1, 谢谢回帖交流,欢迎常来无机物化版块。
2016-11-12 11:03:06
发自小木虫Android客户端
赞
一下
回复此楼
东边日出西边雨,导师无情我有情。
8楼
2016-11-12 08:50:17
已阅
回复此楼
关注TA
给TA发消息
送TA红花
TA的回帖
小淘丫
新虫
(小有名气)
应助: 0
(幼儿园)
金币: 137.2
散金: 140
红花: 2
帖子: 212
在线: 35.6小时
虫号: 5218522
注册: 2016-11-09
专业: 有机合成
引用回帖:
8楼
:
Originally posted by
gbs5910
at 2016-11-12 08:50:17
谢谢,明白了
发自小木虫Android客户端
回复此楼
9楼
2016-11-12 08:55:24
已阅
回复此楼
关注TA
给TA发消息
送TA红花
TA的回帖
我想更懂你29
专家顾问
(文坛精英)
专家经验: +1066
ICEPI: 8
应助: 2668
(讲师)
贵宾: 0.483
金币: 86670
散金: 87
红花: 449
帖子: 11172
在线: 7876.8小时
虫号: 2622604
注册: 2013-08-29
性别: GG
专业: 原子簇化学
管辖:
无机/物化
★
冰点降温: 金币+1, 谢谢专家解答,辛苦了。
2016-11-12 11:04:32
引用回帖:
5楼
:
Originally posted by
小淘丫
at 2016-11-12 08:33:50
如下
...
就是那么算的,下次建议直接贴原题,有时候你的理解有误
发自小木虫Android客户端
赞
一下
回复此楼
以大多数人的努力程度,还轮不到去拼天赋的地步
10楼
2016-11-12 09:02:05
已阅
回复此楼
关注TA
给TA发消息
送TA红花
TA的回帖
相关版块跳转
有机交流
有机资源
高分子
无机/物化
分析
催化
工艺技术
化工设备
石油化工
精细化工
电化学
环境
SciFinder/Reaxys
我要订阅楼主
小淘丫
的主题更新
11
1/2
返回列表
1
2
下一页
如果回帖内容含有宣传信息,请如实选中。否则帐号将被全论坛禁言
普通表情
龙
兔
虎
猫
百度网盘
|
360云盘
|
千易网盘
|
华为网盘
在新窗口页面中打开自己喜欢的网盘网站,将文件上传后,然后将下载链接复制到帖子内容中就可以了。
信息提示
关闭
请填处理意见
关闭
确定