| 查看: 1775 | 回复: 17 | ||
holisky新虫 (小有名气)
|
[求助]
统计物理中的相空间问题 已有2人参与
|
|
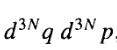
物理版块好冷清。 最近看统计物理,有个问题一直不明白,希望物理达人能给点提示 相空间是由各粒子的广义坐标和广义动量确定的,如果要在相空间里积分(比如求配分函数),则是分别对各粒子的广义坐标和广义动量在全空间积分,是个多重积分,其积分元是 谢谢! |
» 猜你喜欢
一志愿 西北大学 ,070300化学学硕,总分287,双非一本,求调剂。
已经有5人回复
0856求调剂
已经有9人回复
一志愿 南京邮电大学 288分 材料考研 求调剂
已经有3人回复
材料与化工304求B区调剂
已经有5人回复
一志愿北京化工大学材料与化工(085600)296求调剂
已经有5人回复
275求调剂
已经有7人回复
274求调剂
已经有19人回复
总分293求调剂
已经有8人回复
北科281学硕材料求调剂
已经有17人回复
寻找调剂
已经有8人回复
» 本主题相关价值贴推荐,对您同样有帮助:
自己从事科研以来的英文写作总结,希望对写SCI的你有帮助(特别是搞物理材料的)
已经有30人回复
(转载)仿制药研发中的几个关键问题
已经有17人回复
【热力学】马丙现-热力学定律之殇
已经有67人回复
半导体中电子动量问题
已经有2人回复
《时空系统斑图优化控制》【转载】
已经有26人回复
杭师大55项
已经有7人回复
2011年杰青名单及立项
已经有1人回复
【书籍】《材料化学导论》唐小真 著
已经有16人回复
【分享】2009年注册环保工程师基础考试大纲
已经有11人回复

2楼2016-09-02 00:53:30
holisky
新虫 (小有名气)
- 应助: 1 (幼儿园)
- 金币: 122.6
- 散金: 80
- 帖子: 136
- 在线: 46.3小时
- 虫号: 2611188
- 注册: 2013-08-22
- 性别: GG
- 专业: 金属材料的合金相、相变及
3楼2016-09-02 11:43:31
walk1997
金虫 (著名写手)
- 物理EPI: 1
- 应助: 1 (幼儿园)
- 金币: 4676.2
- 红花: 22
- 帖子: 1066
- 在线: 798.1小时
- 虫号: 416039
- 注册: 2007-06-29
- 性别: GG
- 专业: 粒子物理学和场论
4楼2016-09-02 12:42:05
walk1997
金虫 (著名写手)
- 物理EPI: 1
- 应助: 1 (幼儿园)
- 金币: 4676.2
- 红花: 22
- 帖子: 1066
- 在线: 798.1小时
- 虫号: 416039
- 注册: 2007-06-29
- 性别: GG
- 专业: 粒子物理学和场论
5楼2016-09-02 12:48:11
holisky
新虫 (小有名气)
- 应助: 1 (幼儿园)
- 金币: 122.6
- 散金: 80
- 帖子: 136
- 在线: 46.3小时
- 虫号: 2611188
- 注册: 2013-08-22
- 性别: GG
- 专业: 金属材料的合金相、相变及
6楼2016-09-02 13:38:04

7楼2016-09-02 13:47:16
holisky
新虫 (小有名气)
- 应助: 1 (幼儿园)
- 金币: 122.6
- 散金: 80
- 帖子: 136
- 在线: 46.3小时
- 虫号: 2611188
- 注册: 2013-08-22
- 性别: GG
- 专业: 金属材料的合金相、相变及
8楼2016-09-02 14:13:33
walk1997
金虫 (著名写手)
- 物理EPI: 1
- 应助: 1 (幼儿园)
- 金币: 4676.2
- 红花: 22
- 帖子: 1066
- 在线: 798.1小时
- 虫号: 416039
- 注册: 2007-06-29
- 性别: GG
- 专业: 粒子物理学和场论
9楼2016-09-02 22:01:24
holisky
新虫 (小有名气)
- 应助: 1 (幼儿园)
- 金币: 122.6
- 散金: 80
- 帖子: 136
- 在线: 46.3小时
- 虫号: 2611188
- 注册: 2013-08-22
- 性别: GG
- 专业: 金属材料的合金相、相变及
10楼2016-09-02 23:56:06













回复此楼