²é¿´: 1660  |  »Ø¸´: 18

cmxregister9

гæ (³õÈëÎÄ̳)

[ÇóÖú] Çë½Ì£ºÔõô֤Ã÷Õâ¸ö×éºÏÇóºÍʽ ÒÑÓÐ1È˲ÎÓë

Çë½Ì£ºÔõô֤Ã÷Õâ¸ö×éºÏÇóºÍʽ

Çë½Ì£ºÔõô֤Ã÷Õâ¸ö×éºÏÇóºÍʽ
aaaaaa.png
»Ø¸´´ËÂ¥

» ²ÂÄãϲ»¶

» ±¾Ö÷ÌâÏà¹Ø¼ÛÖµÌùÍÆ¼ö£¬¶ÔÄúͬÑùÓаïÖú:

ÒÑÔÄ   »Ø¸´´ËÂ¥   ¹Ø×¢TA ¸øTA·¢ÏûÏ¢ ËÍTAºì»¨ TAµÄ»ØÌû
»ØÌûÖ§³Ö ( ÏÔʾ֧³Ö¶È×î¸ßµÄǰ 50 Ãû )

fungarwai

гæ (СÓÐÃûÆø)

¡¾´ð°¸¡¿Ó¦Öú»ØÌû

¡ï ¡ï ¡ï ¡ï ¡ï ¡ï ¡ï ¡ï ¡ï ¡ï ¡ï ¡ï ¡ï ¡ï ¡ï
¸Ðл²ÎÓ룬ӦÖúÖ¸Êý +1
cmxregister9: ½ð±Ò+15, ¡ï¡ï¡ïºÜÓаïÖú, ·Ç³£¸Ðл£¡ÔÞÊýѧ»ù´¡Ôúʵ£¬Ë¼Â·¿ªÀ«¡£ 2016-06-19 08:01:52
Çë½Ì£ºÔõô֤Ã÷Õâ¸ö×éºÏÇóºÍʽ-1
2Â¥2016-06-17 13:48:06
ÒÑÔÄ   »Ø¸´´ËÂ¥   ¹Ø×¢TA ¸øTA·¢ÏûÏ¢ ËÍTAºì»¨ TAµÄ»ØÌû

xrma

ľ³æ (ÕýʽдÊÖ)

3Â¥2016-06-17 20:46:14
ÒÑÔÄ   »Ø¸´´ËÂ¥   ¹Ø×¢TA ¸øTA·¢ÏûÏ¢ ËÍTAºì»¨ TAµÄ»ØÌû

fungarwai

гæ (СÓÐÃûÆø)

ÒýÓûØÌû:
12Â¥: Originally posted by cmxregister9 at 2016-06-19 08:06:31
ÄúµÄ½âÊÍû´í¡£µ«ÊÇÄú¿ÉÄܺöÂÔÁËÎҵĻظ´µÄ×îºóÒ»ÐУ¬Á½¸ö¶àÏîʽµÄÍâÇóºÍʽ£¬Ò»¸öÊÇ´Ó0µ½ÕýÎÞÇһ¸öÊÇ´Ó0µ½n£¬Á½¸öʽ×ÓÏàµÈ£¬Ôõô¿ÉÄÜÍÆµ¼³öÄÚ²¿ÏµÊýÏàµÈÕâ¸ö½áÂÛ¡£ÕâÓë·¶µÃÃɺãµÈʽµÄÖ¤Ã÷ÔÚ×îºóÒ»²¿·ÖÊDz»Í¬µÄ¡£...

×ó±ß´Ó0µ½ÕýÎÞÇÓÒ±ßÊÇ´Ó0µ½n£¬Á½Õß±»Ö¤Ã÷ÁËÏàµÈ
Õâ˵Ã÷ÁË×ó±ß´Ón+1µ½ÕýÎÞÇî¶¼ÊÇ0
15Â¥2016-06-19 08:47:07
ÒÑÔÄ   »Ø¸´´ËÂ¥   ¹Ø×¢TA ¸øTA·¢ÏûÏ¢ ËÍTAºì»¨ TAµÄ»ØÌû

fungarwai

гæ (СÓÐÃûÆø)

5Â¥2016-06-17 21:11:14
ÒÑÔÄ   »Ø¸´´ËÂ¥   ¹Ø×¢TA ¸øTA·¢ÏûÏ¢ ËÍTAºì»¨ TAµÄ»ØÌû
ÆÕͨ»ØÌû

xrma

ľ³æ (ÕýʽдÊÖ)

4Â¥2016-06-17 20:46:50
ÒÑÔÄ   »Ø¸´´ËÂ¥   ¹Ø×¢TA ¸øTA·¢ÏûÏ¢ ËÍTAºì»¨ TAµÄ»ØÌû

cmxregister9

гæ (³õÈëÎÄ̳)

ÒýÓûØÌû:
2Â¥: Originally posted by fungarwai at 2016-06-17 13:48:06

·Ç³£¸ÐлÄúµÄ½â´ð£¡ÎÒ×ÐÏ¸ÍÆµ¼ÁËÄú¸øµÄ½â´ð¹ý³Ì£¬Éл¹Óм¸¸ö²¿·Ö²»ÄÜÀí½â£¿ÆÚ´ýÄú²»ÁßÖ¸½Ì£¬Ð»Ð»£¡
Çë½Ì£ºÔõô֤Ã÷Õâ¸ö×éºÏÇóºÍʽ-3
aa.png

6Â¥2016-06-18 15:47:36
ÒÑÔÄ   »Ø¸´´ËÂ¥   ¹Ø×¢TA ¸øTA·¢ÏûÏ¢ ËÍTAºì»¨ TAµÄ»ØÌû

cmxregister9

гæ (³õÈëÎÄ̳)

ÒýÓûØÌû:
3Â¥: Originally posted by xrma at 2016-06-17 20:46:14

·Ç³£¸ÐлÄúµÄ½â´ð£¡ÎÒ×ÐÏ¸ÍÆµ¼ÁËÏÂÄú¸øµÄ½â´ð¹ý³Ì£¬·¢ÏÖÇóºÍºÅÒ»¸öÉÏÏÞÊÇÎÞÇһ¸öÉÏÏÞÊÇn£¬¸ù¾ÝÄúµÄ½â´ð£¬ºÃÏñÊÇÖ±½ÓÈÃÄÚ²¿ÏµÊýÏàµÈ¡£µ«ÊÇÕâÑùÖ±½Ó»®µÈºÅ¿ÉÐÐÂð£¿
¹ý³ÌÈçÏ£º
Çë½Ì£ºÔõô֤Ã÷Õâ¸ö×éºÏÇóºÍʽ-4
aa1.png

7Â¥2016-06-18 16:04:56
ÒÑÔÄ   »Ø¸´´ËÂ¥   ¹Ø×¢TA ¸øTA·¢ÏûÏ¢ ËÍTAºì»¨ TAµÄ»ØÌû

cmxregister9

гæ (³õÈëÎÄ̳)

ÒýÓûØÌû:
5Â¥: Originally posted by fungarwai at 2016-06-17 21:11:14
ร¬ºÃ·½·¨

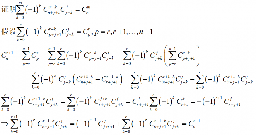
\frac{(1-x)^{n+j+1}}{(1-x)^{j+1}}=(1-x)^n

(\sum_{k=0}^\infty C_{j+k}^j x^k)(\sum_{r=0}^{n+j+1} (-1)^r C_{n+j+1}^r x^r)=\sum_{m=0}^n (-1)^m C_n^m x^m

r=m-k

\sum_{k=0}^m (-1)^{m- ...

·Ç³£¸ÐлÄúµÄ½â´ð£¡ÎÒ×ÐÏ¸ÍÆµ¼ÁËÏÂÄú¸øµÄ½â´ð¹ý³Ì£¬·¢ÏÖÇóºÍºÅÒ»¸öÉÏÏÞÊÇÎÞÇһ¸öÉÏÏÞÊÇn£¬¸ù¾ÝÄúµÄ½â´ð£¬ºÃÏñÊÇÖ±½ÓÈÃÄÚ²¿ÏµÊýÏàµÈ¡£µ«ÊÇÕâÑùÖ±½Ó»®µÈºÅ¿ÉÐÐÂð£¿
¹ý³ÌÈçÏ£º
Çë½Ì£ºÔõô֤Ã÷Õâ¸ö×éºÏÇóºÍʽ-5
aa1.png

8Â¥2016-06-18 16:06:45
ÒÑÔÄ   »Ø¸´´ËÂ¥   ¹Ø×¢TA ¸øTA·¢ÏûÏ¢ ËÍTAºì»¨ TAµÄ»ØÌû

fungarwai

гæ (СÓÐÃûÆø)

ÒýÓûØÌû:
6Â¥: Originally posted by cmxregister9 at 2016-06-18 15:47:36
·Ç³£¸ÐлÄúµÄ½â´ð£¡ÎÒ×ÐÏ¸ÍÆµ¼ÁËÄú¸øµÄ½â´ð¹ý³Ì£¬Éл¹Óм¸¸ö²¿·Ö²»ÄÜÀí½â£¿ÆÚ´ýÄú²»ÁßÖ¸½Ì£¬Ð»Ð»£¡

aa.png
...

1.ÎÒ°Ñj»»³ÉÁËj+1¡¢n»»³ÉÁËn+j+1¡¢kÒ²»»³ÉÁËm-k
2.3.ÁÑÏî·¨
9Â¥2016-06-18 16:18:30
ÒÑÔÄ   »Ø¸´´ËÂ¥   ¹Ø×¢TA ¸øTA·¢ÏûÏ¢ ËÍTAºì»¨ TAµÄ»ØÌû

fungarwai

гæ (СÓÐÃûÆø)

ÒýÓûØÌû:
8Â¥: Originally posted by cmxregister9 at 2016-06-18 16:06:45
·Ç³£¸ÐлÄúµÄ½â´ð£¡ÎÒ×ÐÏ¸ÍÆµ¼ÁËÏÂÄú¸øµÄ½â´ð¹ý³Ì£¬·¢ÏÖÇóºÍºÅÒ»¸öÉÏÏÞÊÇÎÞÇһ¸öÉÏÏÞÊÇn£¬¸ù¾ÝÄúµÄ½â´ð£¬ºÃÏñÊÇÖ±½ÓÈÃÄÚ²¿ÏµÊýÏàµÈ¡£µ«ÊÇÕâÑùÖ±½Ó»®µÈºÅ¿ÉÐÐÂð£¿
¹ý³ÌÈçÏ£º

aa1.png
...

È¥¿´ÄÇЩÖìÊÀ½ÜºãµÈʽ¡¢·¶µÂÃɺãµÈʽÔõô֤

Çë½Ì£ºÔõô֤Ã÷Õâ¸ö×éºÏÇóºÍʽ-6
10Â¥2016-06-18 16:34:08
ÒÑÔÄ   »Ø¸´´ËÂ¥   ¹Ø×¢TA ¸øTA·¢ÏûÏ¢ ËÍTAºì»¨ TAµÄ»ØÌû
Ïà¹Ø°æ¿éÌø×ª ÎÒÒª¶©ÔÄÂ¥Ö÷ cmxregister9 µÄÖ÷Ìâ¸üÐÂ
×î¾ßÈËÆøÈÈÌûÍÆ¼ö [²é¿´È«²¿] ×÷Õß »Ø/¿´ ×îºó·¢±í
[¿¼ÑÐ] Ò»Ö¾Ô¸Î÷ÄϽ»´ó£¬Çóµ÷¼Á +5 ²Ä»¯ÖðÃÎÈË 2026-03-18 5/250 2026-03-21 00:26 by JourneyLucky
[¿¼ÑÐ] 299Çóµ÷¼Á +4 shxchem 2026-03-20 5/250 2026-03-21 00:24 by ÐÇ¿ÕÐÇÔÂ
[¿¼ÑÐ] 316Çóµ÷¼Á +5 ÁºÜçö© 2026-03-19 5/250 2026-03-20 21:26 by ÄãºÃÄãºÃ666
[¿¼ÑÐ] 265Çóµ÷¼Á +12 ÁºÁºÐ£Ð£ 2026-03-19 13/650 2026-03-20 21:01 by Î޼ʵIJÝÔ­
[¿¼ÑÐ] 0703»¯Ñ§µ÷¼Á £¬Áù¼¶Òѹý£¬ÓпÆÑо­Àú +13 êØÎõÙâ 2026-03-15 13/650 2026-03-20 19:35 by Dream007008
[¿¼ÑÐ] 281Çóµ÷¼Á£¨0805£© +14 ÑÌÏ«Ò亣 2026-03-16 25/1250 2026-03-20 15:47 by yuncha
[ÂÛÎÄͶ¸å] ÉêÇë»Ø¸åÑÓÆÚÒ»¸öÔ£¬±à¼­Í¬ÒâÁË¡£µ«ÏµÍ³ÉϵÄʱ¼äû±ä£¬¸ø±à¼­ÓÖдÓʼþÁË£¬Ã»»Ø¸´ 10+3 wangf9518 2026-03-17 4/200 2026-03-19 23:55 by babero
[¿¼ÑÐ] ¸´ÊÔµ÷¼Á +4 z1z2z3879 2026-03-14 6/300 2026-03-19 17:18 by fei626-918
[¿¼ÑÐ] ²ÄÁÏ¿¼Ñе÷¼Á +3 xwt¡£ 2026-03-19 3/150 2026-03-19 11:22 by wãåÑôw
[¿¼ÑÐ] 070300»¯Ñ§319Çóµ÷¼Á +6 ½õÀð0909 2026-03-17 6/300 2026-03-18 13:22 by Iveryant
[¿¼ÑÐ] 312Çóµ÷¼Á +8 İå·Ï£ 2026-03-16 9/450 2026-03-18 12:39 by Linda Hu
[¿¼ÑÐ] 304Çóµ÷¼Á +12 СÐÜjoy 2026-03-14 13/650 2026-03-18 12:34 by Linda Hu
[¿¼ÑÐ] 0703»¯Ñ§336·ÖÇóµ÷¼Á +6 zbzihdhd 2026-03-15 7/350 2026-03-18 09:53 by zhukairuo
[¿¼ÑÐ] 301Çóµ÷¼Á +9 yyÒªÉϰ¶Ñ½ 2026-03-17 9/450 2026-03-18 08:58 by Î޼ʵIJÝÔ­
[¿¼ÑÐ] 302Çóµ÷¼Á +4 С¼Öͬѧ123 2026-03-15 8/400 2026-03-17 10:33 by С¼Öͬѧ123
[¿¼ÑÐ] 326Çóµ÷¼Á +4 ŵ±´¶û»¯Ñ§½±êéê 2026-03-15 7/350 2026-03-16 17:11 by ŵ±´¶û»¯Ñ§½±êéê
[¿¼ÑÐ] 321Çóµ÷¼Á +5 ´óÃ×·¹£¡ 2026-03-15 5/250 2026-03-16 16:33 by houyaoxu
[¿¼ÑÐ] 326Çóµ÷¼Á +3 mlpqaz03 2026-03-15 3/150 2026-03-16 07:33 by Iveryant
[¿¼ÑÐ] 070305Çóµ÷¼Á +3 mlpqaz03 2026-03-14 4/200 2026-03-15 11:04 by peike
[¿¼ÑÐ] Öпƴó²ÄÁÏÓ뻯¹¤319Çóµ÷¼Á +3 ÃÏöβÄÁÏ 2026-03-14 3/150 2026-03-14 20:10 by ms629
ÐÅÏ¢Ìáʾ
ÇëÌî´¦ÀíÒâ¼û